ارزش واگذاري امتياز تراكم و تعرفه تغيير كاربري ساختمان و پاركينگ ()
ماده يكم (1):
شاخصهها و اصطلاحات مندرج در اين مصوبه به شرح ذيل تعريف ميشوند:
الف-(a)= ارزش تراكم (مازاد) براي هر مترمربع ناشي از مابهالتفاوت تراكم ساختماني مجاز با تراكم پايه مالي.
ب-تراكم پايه مالي= اساساً مفهوم ساختماني ندارد و فقط جنبه مالي دارد و بهصورت عام براي كليه اراضي و املاك شهر تهران يكصد و بيست درصد (120%) تعيين شده است.
ج- تراكم ساختماني مجاز= حداكثر تراكم تعيين شده در طرحهاي تفصيلي مصوب كميسيون ماده پنج (توضيح اينكه مواردي كه با عنوان تراكم مازاد در اين مصوبه قيد شده است مربوط به مجموعه مصوبات قبلي در اين خصوص ميباشد).
د-كاربري= نوع استفاده مجاز از زمين كه توسط طرحهاي مصوب شهري تعيين ميشود.
هـ- كاربرد= نوع عملكرد ساختمان.
و- (p)= ارزش معاملاتي گرانترين گذر قابل دسترس ملك كه در رديف بلوك ذيربط دفترچه املاك سال 1381 آمده است.
ز)- (d)= مبلغ دويست هزار (200,000) ريال ارزش معاملاتي براي يك مترمربع ساختمانهاي اسكلت فلزي و بتني.
ح-('p)= ارزش معاملاتي گرانترين گذر قابل دسترسي ملك كه در رديف بلوك ذيربط دفترچه ارزش معاملاتي املاك سال 1384 آمده است.
ط-('d)= مبلغ دويست و پنجاه هزار (250,000) ريال ارزش معاملاتي يك مترمربع ساختمانهاي اسكلت فلزي و بتني.
ي-(t)= ضريب منطقه به شرح مندرج در جدول شماره يك.
جدول شماره (1) ضريب منطقهاي (t)
ضريب | منطقه | رديف |
5/2 | 1 و 3 | 1 |
2 | 2 و 6 | 2 |
5/1 | 4 و 5 و 7 و 22 | 3 |
1 | 8 و 21 | 4 |
5/0 | 9 الي 14 | 5 |
25/0 | 15 الي 20 | 6 |
(طبق مصوبه تجديد نظر در تعيين ضريب منطقهاي (t)، تصويبي در بيست و هفتمين جلسه رسمي شورا (دوره دوم) – ابلاغي به شماره 160/405/11723 به تاريخ 82/8/24) | منطقه عباس آباد (3، 6 و 7) | 7 |
ك-(k= ضريب a در محاسبه تعرفه كاربرد.
ل-(l) = عرض گذر.
م- (n)= تعداد واحدهاي تجاري - اداري - صنعتي طبق نقشه مصوب و يا مورد بهرهبرداري در هر طبقه منهاي يك و يا در مواردي كه داراي واحدهاي مجاز باشد، ما بهالتفاوت تعداد واحدهاي تجاري - اداري - صنعتي طبق نقشه مصوب و يا مورد بهرهبرداري منهاي واحدهاي موجود مجاز در آن طبقه.
ن- (f)= ارزش كاربرد ساختمان ( f=ka براي هر مترمربع)
س-(h) = تعرفه تعدد واحد

ع-(s)= مساحت مفيد كاربرد ساختمانهاي تجاري – اداري – صنعتي به تفكيك طبقه.
ماده دوم (2):
ارزش تراكم (مازاد) براي هر مترمربع ناشي از مابهالتفاوت تراكم ساختماني مجاز با تراكم پايه مالي: شهرداري تهران مكلف است كه در قبال اضافه ارزشي كه براي هر يك از قطعات اراضي شهر بر اثر ضوابط پهنه بندي و تعيين تراكم هاي ساختماني مجاز و كاربري اراضي بيش از قيمت اراضي در مناطق مسكوني با تراكم پايه مالي يكصد و بيست درصد (120%) ايجاد ميشود تعرفه مربوط را با رعايت موارد ذيل وصول نمايد.
الف- 
ب- 
ج- درصورتيكه شهرداري تهران مجاز به صدور پروانه ساختماني مسكوني بيش از تراكم پايه مالي باشد، بهمنظور تأمين خدمات بر اساس سرانههاي شهري مصوب ناشي از تراكمهاي بالاتر موردنياز ضريب پلكاني تعرفه مازاد بر تراكم پايه مالي بر اساس جدول ذيل (جدول شماره دو) محاسبه و اعمال ميشود.
جدول شماره (2)

د- از سيصد و شصت درصد (360%) به بالا به ازاي هر شصت درصد (60%) افزايش، 0/5 به ضريب ماقبل آن در جدول فوق اضافه ميشود.
هـ- سطح كليه راهپلهها و آسانسورها مشروط به رعايت كامل استانداردهاي مقررات ملي ساختمان، جزء تراكم ساختماني مجاز محسوب نشده و لذا مشمول اخذ تعرفه ارزش تراكم مازاد بر تراكم پايه مالي نيز محاسبه نخواهد شد.
و- براي كليه تعاونيهاي مسكن مورد تأييد وزارت تعاون تعرفه مازاد بر تراكم پايه مالي معادل هشتاد درصد (80%) منظور ميشود.
ز- ارزش هر مترمربع تراكم مازاد بر تراكم پايه مالي ساختماني غيرمسكوني بيش از تراكم پايه مالي. نظر به اينكه كليه كاربريهاي غيرمسكوني بخشي از خدمات ( سرانههاي شهري) را جبران مينمايد به همين دليل مازاد بر تراكم پايه مالي ملاك عمل جهت هر كاربري بر اساس جدول ذيل (شماره سه) عمل ميشود.
جدول شماره (3)

ح- از سيصد و شصت درصد (360%) به بالا به ازاي هر شصت درصد (60%) افزايش، 0/2 به ضريب ماقبل آن در جدول فوق افزوده ميشود.
ط-درصورتيكه كاربرد ملك با كاربري زمين طبق طرح تفصيلي ملاك عمل مغايرت داشته باشد، تا زمان رفع اين مغايرت، محاسبه ضريب پلكاني تعرفه معادل جدول شماره (2) انجام ميشود.
ي- هرگونه واگذاري امتياز تراكم بهصورت سيار بهنحويكه پلاك ثبتي مربوط مشخص نباشد ممنوع بوده و شهرداري تهران موظف است امتياز تراكم (مازاد) را با رعايت دقيق مفاد اين مصوبه به دارندگان پلاكهاي ثبتي مشخص واگذار نمايد.
ماده سوم (3):
ارزش هر مترمربع امتياز كاربرد ساختمان:
ارزش افزوده كاربرد ساختمان تجاري - اداري - صنعتي نسبت به مسكوني به شرح ذيل محاسبه و اخذ ميشود:
الف- كاربرد تجاري: تعرفه ارزش واگذاري امتياز هر مترمربع كاربرد ساختمان بهصورت تجاري يا تغيير كاربرد ساختمان از مسكوني به تجاري بر اساس ضرايب جدول شماره (4) عمل ميشود.
جدول شماره (4)

ب- واحدهاي توليدي و دفاتر بازرگاني در كليه حالات جدول شماره (4) جهت املاك با ضريب هفتاد درصد (70%) تعرفههاي تجاري محاسبه ميشود.
ج- ضريب (k) جهت املاك واقع در بر راستهها و بورسهاي تجاري (طبق جدول شماره 5) با ضريب ثابت 15=k نسبت به جدول شماره (4) محاسبه ميشود و در صورت تغيير احتمالي فهرست در راستهها و بورسهاي تجاري، شهرداري مجاز است در كميتهاي متشكل از دو نفر از اعضاي منتخب شوراي اسلامي شهر تهران و دو نفر نماينده از شهرداري تهران مراتب را مورد بررسي و اصلاح قرار دهد.
د- بازار تهران با محدودههاي شمالاً: به خيابان 15 خرداد شرقاً: به خيابان شهيد مصطفي خميني جنوباً: به خيابان مولوي غرباً: به خيابان خيام
با ضريب ثابت (20= k) نسبت به جدول شماره 4 محاسبه ميشود.
جدول شماره (5)
موقعيت | منطقه |
خيابان شهرداري حد فاصل ميدان تجريش تا ميدان قدس، باهنر | 1 |
خيابان وليعصر |
بازار تجريش |
خيابانهاي پاسداران- دربند |
بر ميدانهاي قدس و تجريش |
خيابان شريعتي |
خيابان ستارخان | 2 |
خيابان صادقيه از 24 متري خسرو تا فلكه دوم صادقيه |
بر خيابان آزادي، بر ميدان توحيد |
بر ميدان صادقيه، بر گيشا از جلال آل احمد تا خيابان پيروزي |
بر خيابان شريعتي، پاسداران، وليعصر | 3 |
بر خيابان ميرداماد |
بر خيابان گرمسار، سامان، شيراز |
بر خيابان آفريقا، گلشهر، گلآذين، ناهيد |
بر خيابان شيخ بهايي، ملاصدرا، دولت |
ميدان مادر |
بلوار دلاوران، شميراننو | 4 |
خيابان تهرانپارس، خيابان فرخي يزدي |
خيابان بنيهاشم، خيابان پرتوي |
پاسداران، استاد حسن بنا |
آيتالله كاشاني- بلوار فردوس | 5 |
ميرزا بابايي از ميدان پونك تا سردار جنگل |
شهران از زيرگذر تا فلكه |
خيابان اكباتان بلوار اصلي |
خيابان 20 متري گلستان |
خيابان وليعصر حد فاصل چهارراه وليعصر تا تقاطع دكتر فاطمي | 6 |
خيابان كريمخان زند، كارگر از انقلاب تا شهيد گمنام |
انقلاب، آزادي، وليعصر |
طالقاني، سپهبد قرني، قائممقام فراهاني، خالد اسلامبولي، گاندي |
سميه، وصال شيرازي، شهيد بهشتي، مطهري، ميرزاي شيرازي |
فلسطين، فاطمي، اسدآبادي |
خيابان شهيد بهشتي ـ مطهري | 7 |
انقلاب، شريعتي، خيابان طالقاني، بهار، سپاه |
بر خيابان مفتح تا ميدان هفتتير |
سليمان خاطر، سميه، بهار شيراز، هويزه |
استاد حسن بنا، سهروردي، خرمشهر، شهيد مدني، خليل حسيني |
بر خيابان آيت | 8 |
ميدان هفتحوض |
خيابان آيت اله مدني |
حاشيه فلكه اول تهرانپارس |
زرند، دستغيب، شمشيري | 9 |
بر خيابان آزادي، دامپزشكي، قزوين |
خيابان رودكي (حد فاصل آذربايجان تا كميل) | 10 |
كارون، قصرالدشت، كميل |
دامپزشكي ، امام خميني، هاشمي، آذربايجان ، بريانك |
قزوين | 11 |
بر خيابان جمهوري |
بر خيابان مولوي و وحدت اسلامي |
بر خيابان انقلاب |
بر خيابان وليعصر حد فاصل خيابان جمهوري تا چهارراه وليعصر |
بر خيابانهاي جمهوري ـ فردوسي ـ لالهزارـ منوچهري ـ اكباتان ـ اميركبير ـ ملت | 12 |
بر ميدان و خيابان امام خميني |
بر خيابانهاي دماوند، پيروزي، هفده شهريور | 13 |
بر خيابان انقلاب از پل چوبي تا ميدان امام حسين |
بر خيابان شهرستاني از ميدان امام حسين تا خيابان ايرانمهر |
بر خيابان ايران از سهراه امينحضور تا مجاهدين |
بر خيابان بيست و يك متري دهقان (كوكا كولا) از خيابان پيروزي تا ا5 متري درياني |
بر خيابان 5 نيروي هوايي از خيابان پيروزي تا خيابان 5/37 |
بر خيابان انقلاب از پل چوبي تا ميدان امام حسين |
بر خيابان شهرستاني از ميدان امام حسين تا خيابان ايرانمهر |
بر خيابان ايران از سهراه امينحضور تا مجاهدين |
بر خيابان بيست و يك متري دهقان (كوكا كولا) از خيابان پيروزي تا ا5 متري درياني |
بر خيابان 5 نيروي هوايي از خيابان پيروزي تا خيابان 5/37 | |
آهنگ، محلاتي، پرستار، 31 آبان، خيابان نبرد، خيابان شكوفه | 14 |
بر خيابانهاي خاوران، پيروزي، 17 شهريور |
خيابان 17 شهريور حد فاصل تير دوقلو تا ميدان خراسان | 15 |
خيابان خاوران حد فاصل ميدان خراسان و اتابك |
خيابان بيست متري افسريه |
خيابان مدائن از خيابان شهيد رجايي تا ميدان بازار دوم | 16 |
بازار دوم نازيآباد – بازارچه جواديه و بيست متري جواديه |
بر خيابانهاي پارس، خزانه بوعلي جنوبي، دستواره |
خيابان صابونيان از ميدان شوش تا بزرگراه بعثت ، بر خيابان شوش |
بر خيابان امينالملك از تقاطع خيابان قزوين تا پل يافتآباد (بازار كيف و كفش) |
بر كوچه سيد جوادي از خيابان امينالملك تا خط آهن تبريز | 17 |
بر خيابان يافتآباد از پل يافتآباد تا جاده ساوه (بازار مبل) |
بر خيابان يافتآباد از ميدان معلم تا جاده ساوه | 18 |
بر خيابان ياران از جاده ساوه تا شهرك وليعصر |
17 شهريور مابين 15 متري اول و سوم |
محدوده بازار آهن، بر جاده ساوه |
شهرك شكوفه 35 متري شكوفه | 19 |
شهرك شكوفه 12 متري شهيد احساني |
شهرك شكوفه 19 متري بدر |
خيابان شهيد لطيفي |
ميعاد از تقاطع شهيد لطيفي تا فلكه اول |
ميعاد از بزرگراه تند گويان تا انتهاي خيابان ميعاد |
خيابان درختي از تقاطع شقايق تا انتهاي درختي |
خيابان مهران صمدي و نيكو بين |
جاده ساوه |
20 متري طالقاني، خيابان زمزم |
شهرك شكوفه 10 متري احد |
خيابان 24 متري تا تقاطع خيابان شهيد مجتبي ( بابك) |
خيابان حرم از ميدان شهرري تا درب شمالي حرم مطهر و خيابان اديب |
كاشاني تا درب غربي | 20 |
بر ميدان شهرري و خيابان سپاهيان انقلاب تا انتهاي زكرياي رازي |
بر جاده قديم قم و فدائيان اسلام از ميدان شهرري به عمق 300 متر |
بر خيابان بازار نو حرم و خيابان حضرتي |
خيابان تهرانسر اصلي حد فاصل جاده مخصوص كرج تا چهارراه صدف (خيابان30) | 21 |
بلوار لاله حد فاصل بلوار گلها و خيابان اصلي تهرانسر |
خيابان امام حسين واقع در وردآورد |
خيابان 14 تهرانسر حد فاصل بلوار اصلي تهرانسر تا خيابان نفت |
بلوار كاج | 22 |
بلوار هاشم زاده، بلوار اميركبير |
بلوار دهكده (معابر كندرو) |
هـ- كاربرد اداري: تعرفه ارزش هر مترمربع كاربرد بهصورت اداري و يا تغيير كاربرد ساختمان از مسكوني به اداري طبق جدول شماره 6 عمل ميشود:
جدول شماره (6)
k | طبقه | موقعيت | كاربرد |
1 | در كليه طبقات | در همه مناطق | اداري |
0/25 | در كليه طبقات | در همه مناطق | انبار اداري |
و- ضريب (k) جهت اداري بر اساس راستهها و بورسهاي تجاري طبق جدول شماره (5) با ضريب ثابت 1/5=k محاسبه ميشود.
تبصره يكم (1):
از ابتداي سال 1387 ضريب (k) در جدول شماره (6) به (1/5) و راستهها و بورسها طبق جدول شماره (5) به دو (2) تغيير مييابد.
ز- كاربرد صنعتي : تعرفه ارزش هر مترمربع كاربرد بهصورت صنعتي و يا تغيير كاربرد ساختمان از مسكوني به صنعتي طبق جدول شماره هفت (7) عمل ميشود.
جدول شماره (7)
k | طبقه | موقعيت | كاربرد |
1 | در كليه طبقات | كليه مناطق | صنعتي |
0/5 | انباري |
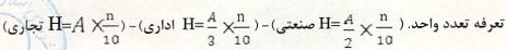
ح- روش محاسبه عوارض در كاربري منطبق و يا مغاير جهت يك باب تجاري، اداري و صنعتي طبق جدول شماره (8) انجام ميشود:
جدول شماره (8)

تبصره دوم (2):
پدرصورتيكه احداث بيش از يك واحد مورد درخواست باشد و يا بيش از واحدهاي مجاز موجود مورد درخواست بوده و مصوب شود، تعرفه طبق جدول شماره (9) محاسبه ميشود.
جدول شماره (9)

ط- در صورت تبديل بناي مجاز موجود با كاربردهاي فوق به چند باب، تعرفه مطابق جدول شماره (10) محاسبه ميشود.
جدول شماره (10)

تبصره سوم (3):
عوارض پذيره مجزا از تعرفه كاربرد ساختمان در كليه موارد اعلامي محاسبه و اخذ ميشود.
تبصره چهارم (4):
در مورد تبديل واحدهاي اداري، صنعتي، تجاري به يكديگر در صورت وجود مابهالتفاوت ارزش افزوده بر اساس جداول فوق محاسبه و اخذ ميشود.
تبصره پنجم (5):
در هنگام تخريب و نوسازي جهت بناهاي موجود مجاز داراي حقوق مكتسبه اعم از تجاري و اداري، صنعتي، صرفاً ده درصد (10%) تعرفه كاربرد و نيز بيست درصد (20%) عوارض پذيره متعلقه ساختمان محاسبه و اخذ ميشود.
تبصره ششم (6):
در هر طبقه تعداد واحد همان طبقه ملاك عمل است، بهجز در مواردي كه در هر طبقه صرفاً احداث يك واحد مورد درخواست باشد، در آن صورت از روش زير استفاده ميشود:

تبصره هفتم (7):
درصورتيكه كل پلاك در چندطبقه مجموعاً يك واحد باشد تعرفه تعدد واحد تعلق نميگيرد اما مساحت ناخالص مجموع طبقات ملاك عمل ميباشد.
تبصره هشتم (8):
انباريها شامل تعرفه تعدد واحد نميشوند.
تبصره نهم (9):

تبصره دهم (10):
بديهي است تعرفه نهايي، جمع جبري تعرفه كل طبقات ميباشد.
تبصره يازدهم (11):
ساير كاربريها و كاربردها شامل ورزشي، بهداشتي، فرهنگي و...، مشمول تعرفه كاربرد ساختمان نميشوند. (شاخصها و ضوابط تعيين موارد اين بند توسط معاونت شهرسازي و معماري تهيه و به تأييد كميسيون توسعه و عمران شهري شوراي اسلامي شهر تهران ميرسد).
تبصره دوازدهم (12):
شهرداري تهران موظف است در اجراي راهبردهاي طرح جامع و به منظور تعادل سهم درآمد از ساخت و سازها، بالاخص ساخت و سازهاي تجاري و اداري و افزايش سهم درآمد در دوره بهرهبرداري ساختمانها و اماكن مختلف شهر بهويژه در كاربريها و كاربردهاي تجاري و با رعايت ضوابط استقرار مشاغل مجاز در پهنههاي مختلف استفاده از اراضي بهمنظور تحقق درآمدهاي پايدار در قالب لايحه تجديد نظر در تعرفه كسب و پيشه تهيه و حداكثر تا پايان شهريورماه سال 1387 جهت تصويب در شوراي اسلامي شهر تهران ارائه نمايد.
ماده چهارم (4):
عوارض كسري پاركينگ.
شهرداري تهران موظف است عوارض كسري پاركينگ را بر اساس موارد ذيل وصول نمايد.
الف- بر اساس جزء 2-6 بند پ تبصره 14 قانون بودجه سال 1386 و راهبردهاي مصوب طرح جامع شهر تهران تأمين پاركينگ براي تمامي واحدهاي تجاري- اداري و صنعتي و مسكوني جديدالاحداث در شهرهاي بزرگ الزامي است.
ب-درصورتيكه تأمين پاركينگ در املاك به دلايل ششگانه فني در ساختمان اصلي و يا در پاركينگهاي عمومي و مشاعي نزديك ملك محل وقوع امكانپذير نباشد، شهرداري تهران موظف است عوارض كسري هر واحد پاركينگ را بر اساس جدول شماره (11) محاسبه و اخذ نمايد.
جدول شماره 11 (ميزان عوارض كسر پاركينگ)
a ضريب | منطقه | رديف |
30 | مسكوني | 1 |
30 | خدماتي (ورزشي، آموزشي، ...)0 | 2 |
40 | اداري و صنعتي | 3 |
45 | تجاري و توليدي و دفتر بازرگاني | 4 |
ج-چنانچه مالكين نسبت به تأمين پاركينگ اختصاصي موردنياز واحد خود با ارائه سند مالكيت پاركينگ در ساختمان پاركينگهاي همسطح يا طبقاتي اقدام نمايند، شهرداري موظف است عوارض كسري پاركينگ را اخذ ننمايد و درصورتيكه قبلاً اخذ نموده است عوارض اخذ شده را به مالكين اعاده نمايد.
د-شهرداري تهران موظف است از محل درآمد حاصل از عوارض كسري پاركينگ در همان منطقه و به همان نسبت، پاركينگ طبقاتي يا عمومي با امكان صدور سند مستقل و قابل واگذاري به اشخاص، احداث نموده و نتيجه را در پايان هرسال برحسب ميزان عوارض وصولي، تعداد و زيربناي پاركينگهاي احداث شده و به تفكيك هركدام از مناطق، طي گزارشي به شوراي اسلامي شهر تهران منعكس نمايد.
هـ- شهرداري ميتواند رأساً يا بهصورت مشاركتي با تشويق بخش خصوصي نسبت به احداث پاركينگهاي همسطح يا طبقاتي قابل واگذاري به شهروندان با رعايت ضوابط و مقررات اقدام نمايد.
ماده پنجم (5):
تثبيت واحدهاي تجاري و اداري:
آن دسته از واحدهاي اداري و تجاري كه در راستههاي كار و فعاليت قرار دارند و از تسهيلات سابقه قبل از شهريور سال 1380 استفاده نكردهاند يا بعد از شهريور سال 1380 طبق ضوابط و با اخذ مجوزهاي لازم احداث شدهاند با اخذ دو برابر تعرفه ارزش هر مترمربع تغيير كاربرد ساختمان اين مصوبه تعيين تكليف ميشود. (تغيير كاربري با تصويب كميسيون ماده پنج خواهد بود).
الف- در صورتيكه تغيير كاربرد ساختمان موجب مازاد تراكم باشد تعرفه متعلقه نسبت به تراكم پايه مالي جداگانه محاسبه و دو برابر مأخذ اين مصوبه اخذ ميشود.
ب- در صورتيكه بنا بر علل فني و يا موقعيت مكاني امكان تأمين پاركينگ ناشي از تثبيت كاربرد ساختمان امكانپذير نباشد حتيالامكان از طريق ارائه اسناد پاركينگ در پاركينگهاي طبقاتي نسبت به تأمين كسري پاركينگ اقدام شود و در غير اين صورت عوارض كسري پاركينگ به مأخذ دو برابر عوارض مندرج در جدول شماره (11) اخذ ميشود.
ج-عوارض پذيره متعلقه به مأخذ دو برابر و ساير عوارض متعلقه (بهاستثناء عوارض پذيره و تغيير كاربرد) به مأخذ يك برابر محاسبه و اخذ ميشود.
د- از تثبيت واحدهاي اداري _ تجاري واقع در طرح هاي مصوب شبكه معابر و خدماتي شهري خودداري شود.
هـ- شهرداري تهران موظف است گزارش عملكرد خود را در مورد اين مصوبه هر شش ماه به شوراي اسلامي شهر تهران اعلام و ارسال نمايد.