laws.tehran.ir
شماره صدور(ابلاغ) : 160/4225/21433
تاریخ صدور(ابلاغ) : 1403/11/15


عوارض ساختماني، ارزش‌افزوده ناشي از اجراي طرح‌هاي توسعه شهري و بهاي خدمات حوزه شهرسازي و ارزش معاملاتي موضوع تبصره 11 ماده صد قانون شهرداري از سال 1404

مصوب 1403/11/14


درختواره

کدهای موضوعی

جستجوی درون متن


عوارض ساختماني، ارزش‌افزوده ناشي از اجراي طرح‌هاي توسعه شهري و بهاي خدمات حوزه شهرسازي و ارزش معاملاتي موضوع تبصره 11 ماده صد قانون شهرداري از سال 1404
مقدمه:

به استناد جزء (الف) و (ب) تبصره يكم (1) ماده دوم (2) قانون درآمد پايدار و هزينه شهرداري‌ها و دهياري‌ها مصوب 1401/04/01 مجلس شوراي اسلامي و دستورالعمل ابلاغي وزير محترم كشور به شماره 166051 مورخ 1400/09/28 و در اجراي بندهاي شانزدهم (16) و بيست و ششم (26) ماده هشتاد (80) قانون تشكيلات، وظايف و انتخابات شوراهاي اسلامي كشور و انتخاب شهرداران مصوب1375/03/01 با اصلاحات و الحاقات بعدي آن، به شهرداري تهران اجازه داده مي‌شود از ابتداي سال 1404 نسبت به اخذ عوارض ساختماني، ارزش افزوده ناشي از اجراي طرح‌هاي توسعه شهري و بهاي خدمات حوزه شهرسازي شهرداري تهران و ارزش معاملاتي ساختمان موضوع تبصره 11 ماده صد قانون شهرداري، به شرح مواد زير اقدام نمايد:
ماده يكم(1): تعاريف
الف- عناوين عوارض
1- عوارض صدور پروانه
1-1- عوارض زيربناي مسكوني: عوارض محاسبه شده جهت زيربناي ناخالص مسكوني كه فضاهاي مشاعي طبقات داراي كاربرد از جمله راه‌پله آسانسور و فضاي انتظار طبقه در آن مورد محاسبه قرار مي‌گيرد.
2-1- عوارض زيربناي غيرمسكوني: عوارض محاسبه شده جهت زيربناي ناخالص كاربردهاي تجاري/ اداري/ صنعتي/ خدماتي و .... كه فضاهاي مشاعي طبقات داراي كاربرد از جمله راه‌پله آسانسور و فضاي انتظار طبقه در آن مورد محاسبه قرار مي‌گيرد.
3-1- عوارض مستحدثات واقع در محوطه املاك: عوارض استفاده موقت از تراس/بام/حياط.
2- عوارض ارزش افزوده ناشي از اجراي طرح‌هاي توسعه شهري: ارزش افزوده ايجاد شده ناشي از تعيين و تغيير در طرح‌هاي توسعه شهري كه در زمان صدور اولين مجوز يا گواهي اخذ مي‌گردد.
1-2- عوارض ارزش افزوده ناشي از تعيين كاربري عرصه در اجراي طرح‌هاي توسعه شهري: عوارضي كه از بابت تعيين كاربري خدماتي، مسكوني و فاقد كاربري نسبت‌به املاك طرح تفصيلي قديم اخذ مي‌گردد و به پهنه m، r و s براساس ضوابط آخرين طرح تفصيلي مصوب تبديل مي‌شوند.
2-2- عوارض ارزش افزوده ناشي از تغييركاربري عرصه در اجراي طرح‌هاي توسعه شهري: عوارضي كه در صورت تغيير پهنه‌هاي آخرين طرح تفصيلي مصوب نسبت به نقشه‌هاي امضا شده طرح تفصيلي شهر تهران براساس مصوبات كميسيون ماده پنج و شوراي‌عالي شهرسازي و معماري ايران اخذ مي‌گردد.
3-2-عوارض ارزش افزوده ناشي از اجراي طرح‌هاي عمران شهري: عوارض متعلقه به اراضي و املاكي كه بر اثر اجراي طرح‌هاي احداث، تعريض، توسعه و اصلاح معابر و ميادين در بر گذر احداثي، اصلاحي، تعريضي و يا توسعه‌اي و نيز احداث پارك و فضاي سبز براي آنها ارزش افزوده ايجاد شده و فقط براي يك بار تعلق مي‌گيرد.
3- عوارض ديواركشي و حصاركشي: عوارضي است كه در قبال صدور پروانه حصاركشي و ديواركشي براي اراضي فاقد مستحدثات براساس طرح‌هاي توسعه شهري محاسبه مي‌گردد.
ب-ارزش معاملاتي كاربري‌هاي مختلف
p(r): ارزش معاملاتي هر مترمربع عرصه املاك با كاربري مسكوني مطابق با دفترچه ارزش معاملاتي سال 1403، موضوع ماده 64 قانون ماليات هاي مستقيم با احتساب ضرايب تعديل اعلامي توسط هيأت وزيران
p(m): ارزش معاملاتي هر مترمربع عرصه املاك با كاربري اداري مطابق با دفترچه ارزش معاملاتي سال 1403، موضوع ماده 64 قانون ماليات هاي مستقيم با احتساب ضرايب تعديل اعلامي توسط هيأت وزيران
p(s): ارزش معاملاتي هر مترمربع عرصه املاك با كاربري تجاري مطابق با دفترچه ارزش معاملاتي سال 1403، موضوع ماده 64 قانون ماليات هاي مستقيم با احتساب ضرايب تعديل اعلامي توسط هيأت وزيران
تبصره:
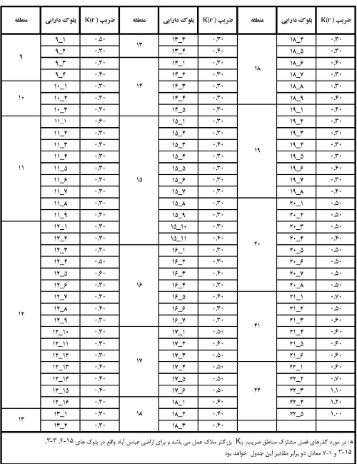
1- در مورد گذرهاي فصل مشترك بلوك‌هايي كه دارايp(r/m/s)متفاوت هستند، p(r/m/s)بزرگتر ملاك عمل مي‌باشد.
2- درمحدوده بازار تهران ارزش معاملاتي عرصه املاك با كاربري تجاري مطابق با حداكثر عرض گذر اعلامي در نقشه پيوست شماره يك (1) وفق ضوابط اجرايي دفترچه ارزش معاملاتي ملاك عمل موضوع ماده 64 قانون ماليات هاي مستقيم ملاك محاسبه است. (پيوست شماره 1)
3- در محاسبه عوارض چنانچه زميني داراي چند بر باشد، قيمت منطقه‌اي گرانترين بر ملك مشرف و داراي دسترسي به معبر ملاك محاسبه خواهد بود.
4- ارزش معاملاتي املاك و اراضي واقع در حريم شهر تهران براساس گرانترين بلوك دارايي هم جوار به محدوده ملك محاسبه و اخذ مي‌گردد.
ج- كاربري تثبيت شده:
قطعاتي كه در طرح تفصيلي ملاك عمل داراي هر يك از كاربري‌هاي نه‌گانه به شرح بهداشتي-درماني، ورزشي، مذهبي، فرهنگي، تاسيسات-تجهيزات، سبز و باز (فضاي عمومي)، تفريحي-تفرجي-گردشگري، آموزشي، پاركينگ باشند يا كاربري آن‌ها از طرح قبلي در طرح جديد (ملاك عمل) تثبيت و تنفيذ شده باشد.
ماده دوم (2): عوارض صدور پروانه ساختماني در كاربري‌هاي مختلف
1-عوارض زيربناي مسكوني:
به ازاي مساحت بناي ناخالص مورد درخواست مسكوني مطابق با جداول چهارگانه استفاده از اراضي و ساخت و ساز و ضوابط و مقررات طرح تفصيلي، به شرح جداول و فرمول زير محاسبه و اخذ مي‌گردد.




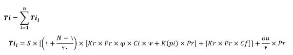
متغيرها:
=tr
عوارض زيربناي مسكوني
=c(r)
] (ميانگين مساحت واحد مسكونيِ بيش از 200مترمربع)( (10n/s)-0.2) +0. 001× [( (10n/s)-0.2) ≥ 0
n=
تعداد واحد مسكوني مورد تقاضا
=s
مساحت عرصه
k(r)=
ضريبp(r ) مطابق با جدول شماره يك (1)
s(f)=
مساحت زيربناي ناخالص مسكوني در هر كران
c(f)=
ضريب پلكاني براساس جداول 2 الي 7 در هر كران





1-1- ضريب cf

ضريب cf در محاسبه عوارض زيربناي مسكوني درحد حداكثر تراكم ساختماني مندرج در جداول چهارگانه استفاده از اراضي و ساخت و ساز و ضوابط و مقررات طرح تفصيلي طبق جدول شماره دو (2) و مازاد بر حداكثر تراكم ساختماني مندرج در جداول چهارگانه استفاده از اراضي و ساخت و ساز و ضوابط و مقررات طرح تفصيلي طبق جداول شماره سه (3) و چهار (4) تعيين مي‌گردد.
جدول شماره دو (2) - ضريب c(f)
كران بالا
c(f)
كران پايين
180%
3
0
240%
4
180%
300%
5
240%
360%
6
300%
420%
9
360%
%480
12
420%
540%
16
%480
600%
20
540%
.......
20
600%

جدول شماره سه (3)- ضريب پلكاني املاك واقع در شمال محور انقلاب

جدول شماره چهار (4) - ضريب پلكاني املاك واقع در جنوب محور انقلاب
كران بالا
c (f)
كران پايين

كران بالا
c (f)
كران پايين
180%
5
0

180%
5
0
240%
8
180%

240%
8
180%
300%
10
240%

300%
10
240%
360%
20
300%

360%
15
300%
420%
22
360%

420%
16
360%
480%
24
420%

480%
17
420%
540%
26
480%

540%
18
480%
600%
28
540%

600%
20
540%
660%
29
600%

660%
21
600%
720%
30
660%

720%
22
660%
...
...
...

...
...
...

تبصره يكم (1):
عوارض زيربناي مشاعات مسكوني طبقات فاقد كاربرد اصلي (پس از كسر زيربناي اختصاص يافته به پاركينگ‌هاي مورد نياز (مساحت هر يك واحد پاركينگ معادل 12.5 مترمربع در نظر گرفته مي‌شود)) و زيربناي مسكوني داراي حقوق مكتسبه قانوني، با ضريب cf يك و نيم (1/5) محاسبه مي‌شود.
تبصره دوم (2):
ضريب cf در محاسبه عوارض ساختماني اراضي و املاك واقع در زيرپهنه سكونت r251 در مناطق 6، 7 در شرايط مازاد بر حداكثر تراكم ساختماني معادل هشتاد درصد (80%) جداول شماره 3 و 4 محاسبه مي گردد. هم‌چنين ضريب cf در محاسبات عوارض املاك مشمول بند 3 صورتجلسه 642 مصوبه(بافت فرسوده) و بند ده صورتجلسه 684 و بند 4 صورتجلسه 688 (بافت ناپايدار) كميسيون ماده پنج در شرايط مازاد بر حداكثر تراكم ساختماني مطابق جداول 3 و 4 اين مصوبه محاسبه مي‌گردد.
2-1- ضريب cf در مصوبات كميسيون ماده پنج
2-1-1- در صورتي كه با رعايت سقف تراكم ساختماني مطابق با آخرين ابلاغ دفترچه ضوابط و مقررات طرح تفصيلي يكپارچه شهر تهران ، تعداد طبقات افزايش يابد (از جمله بند 6 صورتجلسه 614 كميسيون ماده پنج مورخ 1399/08/09 بند 17 صورتجلسه 698 كميسيون ماده پنج) ضريب پلكاني در محاسبه عوارض زيربناي مسكوني مطابق جدول شماره پنج (5) تعيين مي‏‌گردد.
2-1-2- در صورتي كه حداكثر تراكم ساختماني مجاز در جداول پهنه‌بندي طرح تفصيلي تعيين‌تكليف نگرديده باشد ضريب پلكاني در محاسبه عوارض زيربناي مسكوني مطابق جدول شماره پنج (5) تعيين مي‏‌گردد.

جدول شماره پنج (5)
طبقات داراي كاربرد
c (f)
تا طبقه سوم
5
طبقه چهارم
6
طبقه پنجم
7
.....
.....
طبقه 20 و بالاتر
22

2-1-3- () به استناد مفاد ماده هفدهم (17) قانون درآمدهاي پايدار مصوب 1401 درصورت افزايش تراكم براساس مصوبات كميسيون ماده پنج شهر تهران نسبت به آخرين ابلاغ دفترچه ضوابط و مقررات طرح تفصيلي يكپارچه شهر تهران، ضريب cf بر مبناي جدول شماره شش (6) و هفت (7) محاسبه و اخذ مي‌گردد.
جدول شماره شش (6)- ضريب پلكاني املاك واقع در شمال محور انقلاب

جدول شماره هفت (7)- ضريب پلكاني املاك واقع در جنوب محور انقلاب
كران بالا
c (f)
كران پايين

كران بالا
c (f)
كران پايين
180%
6
0

180%
6
0
240%
9
180%

240%
9
180%
300%
12
240%

300%
12
240%
360%
30
300%

360%
18
300%
420%
33
360%

420%
20
360%
480%
36
420%

480%
21
420%
540%
39
480%

540%
22
480%
600%
42
540%

600%
23
540%
660%
43
600%

660%
24
600%
720%
44
660%

720%
25
660%
...
...
...

...
...
...

تبصره سوم (3):

عوارض زيربناي مشاعات مسكوني طبقات فاقد كاربرد اصلي(پس از كسر زيربناي اختصاص يافته به پاركينگ‌هاي مورد نياز (مساحت هر يك واحد پاركينگ معادل 12.5 مترمربع در نظر گرفته مي‌شود)) و زيربناي مسكوني داراي حقوق مكتسبه قانوني، با ضريب cf يك‌ونيم (1.5) محاسبه مي‌شود.
تبصره چهارم (4):

عوارض زيربناي مسكوني درخصوص پرونده‏‌هاي داراي مصوبات كميسيون ماده پنج قانون تأسيس شوراي عالي شهرسازي و معماري ايران، برابر با مجموع عوارض براساس جداول شماره پنج (5) (در حد تراكم جداول طرح تفصيلي) و بر اساس جدول شماره شش (6) و هفت (7) (مازاد بر تراكم جداول طرح تفصيلي ) موضوع اين ماده مي‌باشد.
2-عوارض زيربناي غيرمسكوني:
الف- عوارض زيربناي تجاري:
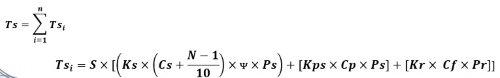
عوارض زيربناي تجاري براساس فرمول ذيل محاسبه مي‌گردد:
متغيرها:
ts=
عوارض زيربناي تجاري ملك
tsi=
عوارض زيربناي تجاري در هر طبقه
n=
تعداد كل طبقات داراي كاربرد تجاري
s =
كل مساحت ناخالص زيربناي تجاري در هر طبقه
s´=
مساحت خالص تجاري
n =
تعداد واحد تجاري مورد تقاضا در هر طبقه
l=
طول دهنه به متر
l0=
طول دهنه مجاز برابر با 3 متر مي باشد
h=
طول ارتفاع به متر
h0=
طول ارتفاع مجاز به متر(ارتفاع مجاز تجاري در محدوده سطح اشغال مجاز ملك بدون نيم طبقه برابر با 4.5 متر و با نيم طبقه برابر با 6.5 متر و در حياط 3 متر مي باشد.)
ᴪ =
نسبت مساحت خالص تجاري به مساحت ناخالص هر طبقه، در ساختمان­هاي تجاري در صورتي كه كل پلاك در چند طبقه مجموعا يك واحد تجاري باشد، ضريب ᴪ، يك(1) منظور مي گردد.
k(s) =
مطابق جدول شماره هشت (8)
k(ps)
بر اساس جدول شماره نه (9) عمل مي گردد.
(s) c =
مطابق جدول شماره ده (10) و يازده (11)
(f) c =
مطابق با ضرايب تعريف شده در بند 1 اين ماده
(p) c =



جدول شماره هشت (8)- ضريب k (s)
منطقه
k(s)
12
1.9
1، 2 و 3
1.7
5، 6، 7
1.6
4، 8، 13 و 21
1.5
11
1.4
9، 10، 14، 15، 16، 17، 19 و 20
1.3
18
1.2
22
1
در گذرهاي فصل مشترك مناطق(22) دوگانه، ضريبk(s )بزرگتر ملاك عمل مي باشد.

جدول شماره نه (9)- ضريب k(ps)
طبقه
k(ps)
همكف
5
زير زمين
3
اول
2.5
دوم
2.25
سوم به بالا
1.75
نيم طبقه
پنجاه درصد ضريب هر طبقه
انباري در همكف
1.5
انباري در ساير طبقات
1


تبصره پنجم (5):

ضريب k(ps)جهت محاسبه عوارض زيربناي واحدهاي تجاري واقع در محدوده بازار (مطابق با نقشه پيوست دو) سه برابر جدول شماره نه (9) مي‌باشد.
جدول شماره ده (10)- ضرايب (s) c در طبقه همكف
موقعيت قرارگيري پلاك
ضريب (s) c
پهنه m و s
13 در طبقه همكف
پهنه m و s در منطقه 12
17 در طبقه همكف
ساير پهنه ها
12 در طبقه همكف
ساير پهنه ها در منطقه 12
16 در طبقه همكف
در محدوده بازار تهران
مطابق با نقشه پيوست شماره3
راسته ها
مطابق با جدول شماره 27 پيوست شماره 4 اين مصوبه ممهور به مهر شوراي اسلامي شهر تهران
در طرفين گذر ها (s) c بزرگتر ملاك عمل مي باشد


جدول شماره يازده (11)- ضرايب c(s)در طبقات مختلف ساختمان تجاري در مناطق22 گانه شهر تهران
طبقه
ضريب
زيرزمين
(c(s)80%)
طبقه اول و نيم طبقه همكف
(c(s)70%)
زيرزمين دوم و طبقه دوم
(c(s)50%)
ساير طبقات
(c(s)40%)
نيم طبقه داخل واحد هر طبقه
50% ضريب همان طبقه
انبار تجاري در هر طبقه
60% ضريب همان طبقه

تبصره ششم (6):

محاسبه دهنه واحدهاي تجاري با رعايت موارد زير صورت مي‌پذيرد:
1-در پاساژها دهنه واحدهاي تجاري بر راه‌روهاي داخلي محسوب نمي‌گردد.
2-چنانچه واحد تجاري داراي چند بر باشند، بزرگترين دهنه ملاك عمل قرار مي‌دهيم.
3-در واحدهاي تجاري واقع در تقاطع دو گذر، دهنه ملاك عمل برابر است با بزرگترين دهنه مشرف به گذر بعلاوه طول پخ.
4-دهنه واحدهاي تجاري صرفا براي طبقات همكف محاسبه مي‌گردد.
تبصره هفتم (7):

عوارض زيربناي مشاعات تجاري طبقات فاقد كاربرد اصلي (پس از كسر زيربناي اختصاص يافته به پاركينگ‌هاي مورد نياز (مساحت هر يك واحد پاركينگ معادل 12.5 مترمربع در نظر گرفته مي‌شود)، با ضريب cf يك و نيم (1/5) محاسبه مي‌شود.
تبصره هشتم (8):

عوارض زيربناي دفاتر فروش، بازرگاني و واحدهاي توليدي (مشروط به اين كه مستندات كافي از جمله وزارت صنايع- جهت تفكيك آن‌ها از واحدهاي صنعتي موجود باشد) معادل هفتاد درصد (70%) عوارض زيربناي تجاري محاسبه مي‌گردد.
تبصره نهم (9):

با عنايت به ضرورت كمك به ساماندهي توليد و توزيع نان در شهر تهران جهت ارتقاء شاخص‌هاي فني و كيفيت پخت نان و بهبود شاخص‌هاي سلامت و بهداشت محيط كار مطابق ضوابط و مقررات موضوعه، شهرداري تهران موظف است از واحد‌هاي توليد ‌نان (سنتي، مسطح، حجيم، نيمه حجيم، خمير‌ منجمد، و نان نيم‌پز) كه داراي پروانه بهره‌برداري از وزارت صنايع و معادن و يا پروانه كسب از اتحاديه صنف ذي‌ربط هستند و طبق ضوابط و مقررات شهرسازي احداث مي‌شوند و كليه مقررات مربوط به‌ بهداشت محيط (موارد اعلامي وزارت بهداشت، درمان و آموزش پزشكي) را نيز لحاظ نموده‌اند، تا مادامي كه صرفاً به توليد نان اشتغال دارند با اخذ تعهد محضري مبني براينكه در صورت تغيير شغل كليه مطالبات شهرداري تهران را به قيمت روز پرداخت نمايند، مطالبات شهرداري در خصوص عوارض زيربناي تجاري را دريافت ننمايند.
تبصره دهم (10):

به منظور تسريع و حمايت از احداث و نوسازي مجتمع‌هاي سينمايي در مناطق 9 الي 21 درصورت هماهنگي طرح با طرح تفصيلي شهر تهران، شهرداري تهران مكلف است در زمان صدور پروانه نسبت به اعطاي تسهيلات تجاري معادل زيربناي سالن نمايش با اخذ ده درصد (10%) عوارض موضوع اين بند اقدام نمايد.
ب- عوارض زيربناي اداري:
عوارض زيربناي اداري براساس فرمول ذيل محاسبه مي‌گردد:
متغيرها:
tm=

عوارض زيربناي اداري ملك

=
عوارض زيربناي اداري در هر طبقه
n=
تعداد كل طبقات داراي كاربرد اداري
s =
كل مساحت ناخالص هر طبقه: زيربناي موثر در محاسبه عوارض زيربناي اداري در هر طبقه عبارتست از زيربناي آن طبقه منهاي زيربناي اختصاص يافته به پاركينگ در آن طبقه (مساحت هر يك واحد پاركينگ معادل 12.5 مترمربع در نظر گرفته مي شود)
s´=
مساحت خالص اداري
n =
تعداد واحد اداري مورد تقاضا در هر طبقه

حداكثر مقدار در كاربردهاي اداري معادل 1/5 و در انباري اداري برابر با صفر مي باشد.
ᴪ =
نسبت مساحت خالص اداري به مساحت ناخالص اداري هر طبقه، در ساختمان­هاي اداري در صورتي كه كل پلاك در چند طبقه مجموعا يك واحد اداري باشد، ضريب ᴪ، يك (1) منظور مي‌گردد.
km =
مطابق جدول شماره دوازده (12)
cm=
در اداري معادل 2.5 و در انباري اداري معادل 0.6 در نظر گرفته مي شود
k(pm) =
مطابق جدول شماره سيزده (13)
(f) c =
مطابق با ضرايب تعريف شده در بند 1 اين ماده

جدول شماره دوازده (12) - k(m)

منطقه
k(m)

1، 3 و 6
2

ساير مناطق
1.6

در گذرهاي فصل مشترك مناطق، ضريبk(m )بزرگتر ملاك عمل مي‌باشد.

جدول شماره سيزده (13) - ضريب k(pm)
طبقه
k(pm)
همكف
3
زير زمين
2.5
اول
2
دوم
1.5
سوم به بالا
1
نيم طبقه
پنجاه درصد ضريب هر طبقه
انباري در كليه طبقات
1


تبصره يازدهم (11):

عوارض زيربناي مشاعات اداري طبقات فاقدكاربرد اصلي (پس از كسر زيربناي اختصاص يافته به پاركينگ‌هاي مورد نياز (مساحت هر يك واحد پاركينگ معادل 12.5 مترمربع در نظر گرفته مي‌شود))، با ضريب cf يك و نيم (1/5) محاسبه مي‌شود.
ج- عوارض زيربناي صنعتي:
عوارض زيربنا صنعتي براساس جداول و فرمول ذيل محاسبه مي‌گردد:



تبصره دوازدهم (12):

در املاك موضوع اين بند، در زمان درخواست پروانه توسعه بنا چنانچه در عوارض، بخش فضاي باز اخذ نگرديده باشد، علاوه بر عوارض زيربناي بناي مورد درخواست، عوارض فضاي باز نيز طبق فرمول فوق محاسبه و وصول خواهد شد.
تبصره سيزدهم (13):

عوارض زيربناي مشاعات صنعتي طبقات فاقد كاربرد اصلي (پس از كسر زيربناي اختصاص يافته به پاركينگ‌هاي مورد نياز (مساحت هر يك واحد پاركينگ معادل 12.5 مترمربع در نظر گرفته مي شود))، با ضريب cf يك و نيم (5/1) محاسبه مي‌شود.
د- عوارض زيربناي خدماتي:

عوارض صدور پروانه ساختماني براي احداث كاربري‌هاي خدماتي از قبيل مراكز آموزشي و آموزش عالي، بهداشتي، درماني، مراكز اجتماعي، كتابفروشي، ناشران و مراكز فرهنگي، اماكن ورزشي، پست‌هاي امداد و تأسيسات و تجهيزات شهري، جايگاه‌هاي سوخت‌رساني، پاركينگ‌هاي عمومي ‌و ... (tse) معادل پنجاه درصد (50%) و در مدارس مورد تاييد وزارت آموزش و پرورش مشمول 10% عوارض زيربناي مسكوني موضوع بند (1) اين ماده محاسبه و اخذ مي‌گردد. ضمنا ً ضريبcr در محاسبه عوارض زيربناي خدماتي معادل صفر (0) در نظر گرفته مي‌شود.
تبصره چهاردهم (14):

در ساختمان‌هاي مسكوني عوارض كاربردهاي خدماتي از قبيل سالن‌هاي ورزش، استخر، سرايداري دو برابر مشاعات طبقات فاقد كاربرد اصلي محاسبه مي‌گردد.
تبصره پانزدهم (15):

مساجد، مصلي‌ها، اماكن صرفاً مذهبيِ اقليت‌هاي ديني مصرح در قانون اساسي و حوزه‌هاي علميه شامل مركز آموزشي، پژوهشي و اداري از پرداخت عوارض اين بند فقط براي فضاهاي اصلي معاف مي‌باشند.

به منظور خودكفائي در اداره مساجد شهرداري تهران موظف است با رعايت قوانين و مقررات از جمله طرح تفصيلي نسبت به اعطاي مجوز حداكثر 300 مترمربع كاربري فرهنگي، اداري و حداكثر 200 تجاري بدون دريافت هزينه جهت مستغلات داخل حريم مساجد و زمين پيرامون متعلق به مساجد (با مالكيت مسجد يا وقف شده براي مسجد) اقدام نمايد. اعطاي تسهيلات به ترتيب به كاربردهاي تجاري، اداري، صنعتي، مسكوني و خدماتي تعلق مي‌گيرد.
ه- عوارض زيربناي ساختمان‌هاي مختلط:

عوارض زيربناي ساختمان‌هاي مختلط برابر با مجموع عوارض بند (1) و رديف هاي "الف" ، "ب" ، "ج" و "د" بند (2) اين ماده محاسبه مي گردد. در محاسبه اين عوارض كمترين ضريب cf به ترتيب متعلق به كاربرد هاي خدماتي، مسكوني، صنعتي، اداري و تجاري مي‌باشد.
تبصره شانزدهم (16):

در صورتي كه مالكين املاك واقع در طرح گذر، داوطلبانه نسبت به اصلاح ملك و انجام عقب نشيني مطابق طرح مصوب اقدام و مقدار اصلاحي را به صورت رايگان به شهرداري واگذار نمايند، به ازاي هر مترمربع از عرصه ملك واقع در طرح فقط براي يك بار در زمان صدور پروانه ساختماني، مطابق فرمول زير از عوارض زيربناي مورد تقاضا كسر مي‌گردد. ضمناً املاكي كه قبل از ابلاغ اين مصوبه نسبت به رعايت اصلاحي معابر به صورت رايگان اقدام نموده‌اند و تاكنون از تسهيلات واگذاري رايگان استفاده ننموده باشند چنانچه مساحت عرصه در آخرين سند مالكيت اصلاح نگرديده باشد، مشمول تسهيلات اين تبصره مي‌گردند.

k(r) × p (r )×10
تبصره هفدهم (17):

مستند به دستورالعمل "اجرايي عناوين عوارض و بهاي خدمات ابلاغي به شماره 166051، مورخ 1403/09/28 وزير محترم كشور ناظر بر تراكم‌هاي صادره تا حد مجاز طبق مصوبات مراجع تصويب‌كننده طرح‌هاي توسعه شهري و كميسيون ماده پنج"، عوارض آن بخش از زيربناي اراضي و املاك مشمول بند 17 صورتجلسه 658 كميسيون ماده پنج شهر تهران، مورخ 1401/12/15مطابق با جدول شماره پانزده (15) محاسبه و اخذ خواهد شد.

تبصره هجدهم (18):

در صورت تبديل يا تغيير هر يك از واحدهاي مسكوني، تجاري، اداري، صنعتي و خدماتي به يكديگر و جابه‌جايي آن‌ها در طبقات (ضمن رعايت ضوابط و مقررات طرح تفصيلي) درصورت افزايش عوارض زيربناي مربوطه، مابه‌التفاوت مطابق با زيربناي نوع كاربري اين ماده محاسبه و اخذ مي‌گردد.
3-عوارض مستحدثات واقع در محوطه املاك

در صورت استقرار سازه موقت (با استفاده از مصالح سبك و غير بنائي) در محوطه املاك اعم از فضاي باز باقي مانده عرصه، تراس و بام املاك، در چارچوب عملكردهاي مجاز به استقرار در پهنه‌هاي طرح تفصيلي، مشروط به اخذ رضايت ساير مالكين مشاعي و عدم مشرفيت جهت املاك همجوار، شهرداري تهران با رعايت ضوابط و مقررات طرح تفصيلي مي‌تواند به ازاي هر مترمربع عوارض مستحدثات واقع در محوطه املاك به صورت ساليانه و به شرح جدول شماره شانزده (16) محاسبه و اخذ نمايد. بديهي است عوارض مذكور منجر به ايجاد هيچ‌گونه حقي براي مالك در خصوص استفاده دائمي نگرديده و صرفاً جهت استفاده موقت از ملك در نظر گرفته مي‌شود.

ماده سوم (3): عوارض ارزش افزوده ناشي از اجراي طرح هاي توسعه شهري
1-عوارض ارزش افزوده ناشي از تعيين كاربري عرصه اجراي طرح هاي توسعه شهري:

عوارض ارزش افزوده ناشي از تعيين كاربري عرصه اجراي طرح‌هاي توسعه شهري (o1) در املاك با كاربري صنعتي، تجاري، اداري، مسكوني، خدماتي و فاقد كاربري طبق طرح تفصيلي قبل از تاريخ 1391/01/05 به پهنه r، m وs طبق طرح تفصيلي جديد براي يك بار بر اساس پهنه وقوع ملك در زمان صدور اولين پروانه يا گواهي ساختماني براساس فرمول زير محاسبه و درصورت تغيير متغيرهاي موثر در محاسبه اين عوارض، مابه التفاوت عوارض اخذ مي‌گردد.

o1= s1× α × β



تبصره يكم (1):
املاكي كه داراي پروانه ساختماني معتبر (صادره قبل از 1394/01/01) براساس ضوابط و مقررات طرح تفصيلي شهر تهران (ابلاغي به تاريخ 1391/01/05) مي‌باشند و درحال حاضر درخواست صدور پروانه تغيير نقشه (به استثناي املاك تجميعي) و يا گواهي ساختماني را داشته باشند، مشمول عوارض ارزش قانوني اين بند نمي‌گردد. بديهي است درصورت تغييرات زيرپهنه كه موجب افزايش ارزش افزوده تعيين كاربري عرصه اجراي طرح‌هاي توسعه شهري (o1) گردد، مابه التفاوت عوارض يادشده محاسبه و اخذ مي‌گردد.
تبصره دوم (2):
عوارض موضوع اين بند (o1) براي املاكي كه در طرح تفصيلي قديم، داراي كاربري مسكوني و در زمان صدور پروانه نيز علي رغم وقوع در يكي از پهنه‌هاي m و s (كه به استناد مفاد تبصره ذيل بند 9-3 ضوابط و مقررات طرح تفصيلي شهر تهران مجاز به احداث بناي مسكوني درحد حقوق مكتسبه مي‌باشند) درخواست بناي صرفاً مسكوني دارند، محاسبه نمي‌گردد بديهي است درصورت استفاده از تسهيلات زير پهنه وقوع ملك در نوع استفاده از اعياني شهرداري موظف به دريافت عوارض موضوع اين بند به صورت قدرالسهم مربوطه مي‌باشد.
2- عوارض ارزش افزوده ناشي از تغيير كاربري عرصه اجراي طرح‌هاي توسعه شهري:
1-2- عوارض ارزش افزوده ناشي از تغيير كاربري عرصه اجراي طرح‌هاي توسعه شهري (o2)، در صورت تغيير پهنه‌هاي طرح تفصيلي جديد نسبت به نقشه‌هاي امضا شده طرح تفصيلي شهر تهران براساس مصوبات كميسيون ماده پنج و شوراي‌عالي شهرسازي و معماري ايران، فقط براي يك بار در زمان صدور گواهي ساختماني يا پروانه براساس فرمول زير محاسبه مي‌گردد. درصورت تغيير متغيرهاي موثر در محاسبه اين عوارض، مابه التفاوت عوارض اخذ مي‌گردد.
o2=s1× z
متغيرها:
o2= عوارض ارزش افزوده ناشي از تغيير كاربري عرصه اجراي طرح هاي توسعه شهري
s1=
مساحت عرصه باقيمانده پس از رعايت برهاي اصلاحي
z =
ضريب عوارض ارزش افزوده ناشي از تغيير كاربري عرصه اجراي طرح هاي توسعه شهري نسبت به نقشه هاي امضا شده طرح تفصيلي شهر تهران براساس مصوبات كميسيون ماده پنج و شوراي‌عالي شهرسازي و معماري ايران براساس جدول شماره هجده (18)



تبصره سوم (3):

املاكي كه داراي پروانه ساختماني معتبر (صادره قبل از 1394/01/01) براساس ضوابط و مقررات طرح تفصيلي جديد شهر تهران مي‌باشند و درحال حاضر درخواست صدور پروانه تغييرنقشه (به استثناي املاك تجميعي) يا گواهي ساختماني را داشته باشند، مشمول عوارض ارزش افزوده ناشي از تغيير كاربري عرصه اين بند نمي‌گردد. بديهي است درصورت تغييرات زيرپهنه كه موجب افزايش ارزش افزوده تغيير كاربري عرصه اجراي طرح‌هاي توسعه شهري (o2) گردد، مابه التفاوت عوارض يادشده محاسبه و اخذ مي‌گردد.
تبصره چهارم (4):

عوارض موضوع اين بند (o2) براي املاكي كه در طرح تفصيلي قديم، داراي كاربري مسكوني و در زمان صدور پروانه نيز علي رغم وقوع در يكي از پهنه‌هاي m و s (كه به استناد مفاد تبصره ذيل بند 9-3 ضوابط و مقررات طرح تفصيلي شهر تهران مجاز به احداث بناي مسكوني درحد حقوق مكتسبه مي‌باشند) درخواست بناي صرفاً مسكوني دارند، محاسبه نمي‌گردد. بديهي است درصورت استفاده از تسهيلات زير پهنه وقوع ملك در نوع استفاده از اعياني شهرداري موظف به دريافت عوارض موضوع اين بند به صورت قدرالسهم مربوطه مي‌باشد.
تبصره پنجم (5):

درصورت اخذ عوارض ارزش افزوده ناشي از تعيين كاربري عرصه اجراي طرح‌هاي توسعه شهري (o1)، ملك يادشده مشمول عوارض ارزش افزوده ناشي از تغيير كاربري عرصه اجراي طرح‌هاي توسعه شهري (o2 ) نمي‌گردد.
2-2-به منظور رفع نياز به خدمات عمومي شهر تهران و تأمين سرانه‌ها، درموارد ذيل عوارض تغيير كاربري عرصه اجراي طرح‌هاي توسعه شهري (o3)، فقط براي يك بار و به هنگام صدور پروانه به شرح فرمول زير محاسبه مي‌گردد. اين عوارض صرفاً جهت تأمين خدمات و زيرساخت‌ها در بافت‌هاي فرسوده و ناكارآمد شهر تهران صرف خواهد شد.
1- اجراي تبصره سوم (3) ذيل بند 2-5 دستورالعمل اراضي ذخيره توسعه و نوسازي، در هنگام صدور پروانه براي كليه اراضي و املاكي با وسعت عرصه از هزار مترمربع تا ده هزار مترمربع واقع در پهنه سكونت كه در محدوده‌هاي ذخيره توسعه و نوسازي شهري قرار دارند و اراضي املاك با وسعت كمتر از هزار مترمربع كه بعد از تاريخ 1390/04/07 تفكيك شده‌اند
2- در صورت تغيير زيرپهنه‌هاي فعاليت به زيرپهنه‌هاي مسكوني و نيز تقاضاي مالكين جهت صدور پروانه مسكوني در پهنه فعاليت (s) مطابق با مصوبات كميسيون ماده پنج شهر تهران در چهارچوب قانون "منع فروش و واگذاري اراضي فاقد كاربري مسكوني براي امر مسكن به شركت‌هاي تعاوني مسكن و ساير اشخاص حقيقي و حقوقي
o3= 20× s1×p (r)
متغيرها
o3= عوارض ارزش افزوده ناشي از تغيير كاربري عرصه اجراي طرح هاي توسعه شهري
s1=مساحت عرصه باقيمانده پس از رعايت برهاي اصلاحي


تبصره ششم (6):

اراضي و املاكِ داراي پروانه ساختماني معتبرمسكوني در پهنه فعاليت (صادره قبل از 1402/01/01)، درصورت درخواست پروانه تغييرنقشه بدون هر گونه افزايش بناي مفيد مسكوني، مشمول عوارض ارزش افزوده ناشي از تغيير كاربري عرصه اين بند نمي‌گردد.
تبصره هفتم (7):

اراضي و املاك داراي كاربري تثبيت شده خدماتي تا زمان وجود كاربري تثبيت شده خدماتي و يا اراضي و املاكي كه بر اساس قوانين، ضوابط و مقررات حداقل40 درصد از مساحت عرصه مطابق با سند مالكيت آن‌ها بصورت رايگان به شهرداري تهران واگذار گرديده و مساحت عرصه ملاك تراكم جهت محاسبه سطح اشغال و تراكم ساختماني بر اساس باقيمانده زمين تعيين گردد، مشمول عوارض ارزش افزوده ناشي از تعيين كاربري و تغيير كاربري عرصه اجراي طرح‌هاي توسعه شهري (o1 و o2 و o3) (مفاد بند1 و 2 ماده سوم اين مصوبه) نمي‎‌گردند.
تبصره هشتم (8):

اراضي و املاكي كه بر اساس قوانين، ضوابط و مقررات حداقل 40 درصد از مساحت عرصه مطابق با سند مالكيت آن ها بصورت رايگان به شهرداري تهران واگذار گرديده و مساحت عرصه ملاك تراكم جهت محاسبه سطح اشغال و تراكم ساختماني بر اساس مساحت سند مالكيت تعيين گردد، مشمول پنجاه درصد (50%) عوارض ارزش افزوده ناشي از تعيين كاربري و تغيير كاربري عرصه اجراي طرح‌هاي توسعه شهري (o1 و o2 و o3) (مفاد بند 1 و 2 ماده سوم اين مصوبه) مي‌گردند.
3-عوارض ارزش افزوده ناشي از اجراي طرح هاي عمران شهري:
الف-كليه اراضي و املاكي كه از تاريخ 1370/11/03 به بعد بر اثر اجراي طرح‌هاي احداث، تعريض، توسعه و اصلاح معابر و ميادين در بر گذر احداثي، اصلاحي، تعريضي و يا توسعه‌اي واقع شده و يا مي‌شوند عوارض ارزش افزوده ناشي از اجراي طرح‌هاي عمران شهري براي يك بار در زمان صدور پروانه يا گواهي ساختماني تعلق مي‌گيرد. نحوه محاسبه عوارض ارزش افزوده ناشي از اجراي طرح هاي عمران شهري:


ب- به منظور جلوگيري از ايجاد فضاهاي نا ايمن شهري و ارتقاي امنيت اجتماعي و ساماندهي اغتشاش بصري با پرهيز از ايجاد جداره‌هاي صلب، از مالكين ساختمان‌هايي كه داراي درخواست تعبيه پنجره به منظور نورگيري از فضاهاي سبز عمومي با مالكيت شهرداري تهران كه در مجاورت بلافصل پلاك‌ها مي‌باشند، عوارض ارزش افزوده اي به شرح زير براي يك مترمربع عرصه باقيمانده، براي يك بار در زمان صدور پروانه و گواهي ساختماني محاسبه و اخذ مي‌گردد.

vg= 5 ×p(r/m/s)
ماده چهارم (4): عوارض حصار / ديواركشي

چنانچه بر اساس ضوابط ملاك عمل و اسناد طرح‌هاي توسعه شهري اجازه محصور نمودن اراضي با مصالح بنايي /غير بنايي داده شود، عوارض مربوطه (tw) به شرح ذيل محاسبه و وصول مي گردد. هم‌چنين در حريم دو برابر اين ماخذ محاسبه و اخذ مي‌گردد.

(طول ديوار/حصار× ارتفاع ديوار/حصار×) p(r/m/s)=tw
ماده پنجم (5): بهاي خدمات بهره‌برداري از معابر و فضاهاي عمومي شهر تهران
الف- در راستاي بند 16-16 دفترچه ضوابط و مقررات طرح تفصيلي يكپارچه شهر تهران و تا زمان تصويب و ابلاغ دستورالعمل انتقال حق توسعه و در صورت عدم امكان تأمين پاركينگ وفق بند 1 صورتجلسه 649 كميسيون ماده پنج مصوب 1401/08/09، ساختمان‌هايي كه تا قبل از ابلاغ اين مصوبه داراي حقوق مكتسبه مجاز بوده و املاكي كه مطابق با بند 1-12 ضوابط و مقررات طرح تفصيلي شهرتهران موظف به تأمين پاركينگ در شعاع مناسب مي‌باشند، پس از اتمام عمليات ساختماني، بهاي خدمات «بهره‌برداري پاركينگ از معابر شهري» به صورت ساليانه، مطابق با جدول شماره نوزده (19) و براساس دستورالعملي كه تا پايان ارديبهشت 1404 توسط شهرداري تهران با هماهنگي كميسيون‌هاي شهرسازي و معماري و برنامه و بودجه شوراي اسلامي تهيه و ابلاغ و مبناي محاسبه قرار مي‌گيرد. بديهي است صدور هرگونه گواهي منوط به ارائه اسناد مالكيت پاركينگ‌هاي مورد نياز مطابق با ضوابط طرح تفصيلي مي باشد.
جدول شماره نوزده (19) - بهاي خدمات بهره‌برداري پاركينگ از معابر شهري

*
تبصره يكم (1):

شهرداري تهران موظف است وجوه حاصل از اجراي بند "الف" اين ماده را در حسابي جداگانه واريز نموده و با نظارت شوراي اسلامي شهر تهران، صرفاً در جهت تملك و احداث پاركينگ‌هاي محله‌اي هزينه نموده و گزارش اجراي اين مصوبه را به صورت مستمر در بازه‌هاي زماني شش ماهه به كميسيون‌هاي شهرسازي و معماري و حمل و نقل و ترافيك شوراي شهر تهران ارائه نمايد.
ب- اخذ بهاي خدمات بهره برداري از معابر و فضاهاي عمومي اطراف كارگاه‌هاي ساختماني
به منظور كنترل مدت زمان اشغال معابر و جبران هزينه‌هاي ايجاد و بهسازي مسيري مناسب براي عبور و مرور عابران، بهاي خدمات صدور مجوز براي املاك شمالي و جنوبي، در صورت درخواست مالك مبني بر استفاده از فضاي پياده‌رو به عنوان محل تعبيه حصار حفاظتي موقت كارگاهي، انباركردن مصالح، استقرار ماشين‌آلات ساختماني يا انجام عمليات ساختماني كه موجب مسدود يا محدود نمودن موقت پياده‌رو يا معابر و فضاهاي عمومي اطراف كارگاه ساختماني مي‌گردد، مشروط بر آن كه فضاي مورد نظر براي استفاده محدود و موقت پياده‌رو و فضاهاي عمومي اطراف كارگاه ساختماني حداكثر تا پنجاه درصد (%50) پياده‌رو (مشروط بر آن كه عرض اشغال پياده‌رو بيش از 2 متر نباشد و در خصوص معابر داراي پياده‌رو با عرض كمتر از 1 متر با امكان سطح اشغال صددرصد (100%) عرض پياده‌رو) را اشغال نمايد و توأم با رعايت كليه الزامات ايمني مندرج در مباحث مقررات ملي ساختمان باشد، شهرداري تهران ملزم است در زمان ثبت شروع عمليات ساختماني نسبت به محاسبه و دريافت بهاي بهره‌برداري از معابر و فضاهاي عمومي اطراف كارگاه‌هاي ساختماني (حداقل به مدت شش ماه) به شرح جدول شماره بيست (20) اقدام نمايد. ضمناً از تاريخ لازم‌الاجرا شدن اين مصوبه، همه كارگاه‌هاي ساختماني داراي پروانه ساختماني مشمول مفاد اين بند مي‌گردند.
جدول شماره بيست (20) - بهاي خدمات بهره برداري از معابر و فضاهاي عمومي اطراف كارگاه هاي ساختماني به صورت ماهيانه
زمان/ نوع ساختمان اشغال پياده‌رو
ساختمانهاي گروه "الف" و "ب"
ساختمانهاي گروه "ج" و "د"
كمتر از يك سال از شروع عمليات ساختماني
p(r/m/s)×l×2
مازاد بر يك سال تا مهلت مقرر
p(r/m/s)×l×2
p(r/m/s)×l×4


* l: برابر مجموع طول بَرِ تصرف شده ملك
مهلت مقرر: زمان اشغال پياده‌رو در كليه املاك شمالي حداكثر از شروع عمليات ساختماني تا زمان اتمام سقف سازه‌اي طبقه همكف مي‌باشد. زمان اشغال پياده‌رو در كليه املاك جنوبي حداكثر از شروع عمليات ساختماني تا زمان اتمام آخرين سقف سازه‌اي طبقات مي‌باشد.
تبصره دوم (2):

شهرداري تهران موظف است نسبت به اطلاع‌رساني و اعلام مفاد اين مصوبه به مالكين املاك مشمول، ظرف مدت حداكثر يك‌ماه از تاريخ لازم‌الاجرا شدن اين مصوبه اقدام نمايد. در پايان مدت معين شده مالك يا مالكان موظف به جمع‌‏آوري حصار حفاظتي موقت كارگاهي، دپوي مصالح ساختماني و ماشين‌آلات كارگاهي و رفع سد معبر از پياده‌رو با رعايت كليه الزامات ايمني مي‌باشند در صورت عدم جمع‌آوري توسط مالك، شهرداري مطابق قانون مي‌بايست راساً نسبت به جمع‌آوري حصار كارگاهي، مصالح ساختماني و ماشين‌آلات كارگاهي و رفع سد معبر اقدام نمايد و هزينه اقدامات انجام شده به اضافه 15 درصد مازاد آن را اخذ نمايد.
ج- درصورت داشتن مجوز از مراجع ذي‌صلاح (شوراي عالي شهرسازي و معماري و كميسيون ماده پنج) جهت برخورداري از حقوق ارتفاقي مربوط به معابر عمومي اعم از: احداث پل، تونل ارتباطي و يا هرگونه راه‌هاي دسترسي سواره و پياده اختصاصي، به ازاي هر مترمربع از سطوح اشغال شده، مشمول اخذ عوارض بهره‌برداري ساليانه مطابق با فرمول زير مي‌باشد:
*
p(r/m/s): ارزش معاملاتي ملك مورد تقاضا
s: مساحت اشغال شده از عرصه شهري بر روي پلان دوبعدي در هر طبقه
ماده ششم (6): عوارض صدور پروانه املاك داراي شرايط خاص
الف- بافت فرسوده
به استناد ماده شانزدهم (16) قانون ساماندهي و حمايت از توليد و عرضه مسكن مصوب 1387 عوارض صدور پروانه بناهاي مسكوني واقع در محدوده‌هاي مصوب بافت فرسوده به شرح فرمول زير محاسبه مي گردد:
*
جدول شماره بيست و يك (21)
*
جدول شماره بيست و دو (22):
تعداد قطعات تجميعي
درصد تخفيف عوارض (w2)
2 قطعه
10 درصد
3 قطعه
15 درصد
4 قطعه
20 درصد
5 قطعه
25 درصد
6 قطعه و بيشتر
30 درصد


تبصره يكم (1):

شهرداري تهران موظف است تخفيف‌هاي مندرج در مفاد اين بند را در عملكرد تعهد درآمدي منطقه لحاظ و ضمن ثبت آنها در دفاتر مالي و درج در لوايح بودجه سنواتي و با استناد به مواد (16) و (22) قانون ساماندهي و حمايت از توليد و عرضه مسكن و ماده (46) آيين‌نامه اجرايي آن اقدامات لازم را جهت دريافت معادل آن از دولت در قالب مطالبات ساليانه شهرداري تهران صورت دهد.
تبصره دوم (2):

شهرداري تهران موظف است در راستاي اجراي مفاد اين بند كليه درآمدهاي ناشي از دريافت مطالبات شهرداري تهران از دولت را ثبت و در پروژه‌هاي تأمين خدمات در محلات بافت فرسوده و برنامه اقدام مشترك دولت و شهرداري مصوب ستاد بازآفريني پايدار كلان شهر تهران تخصيص و هزينه نمايد.
تبصره سوم (3):

بهاي خدمات بهره برداري از معابر، براي املاك با كاربرد مسكونيِ واقع در بافت فرسوده، معادل پنجاه درصد (50%) بند الف ماده پنجم اين مصوبه محاسبه مي‌گردد.
تبصره چهارم (4):

تسهيلات تشويقي موضوع اين بند صرفاً شامل بخشي از بافت‌هاي فرسوده مي‌باشد كه بر اساس مصوبه شوراي عالي شهرسازي و معماري كشور و كميسيون ماده 5 قانون تأسيس شوراي عالي شهرسازي و معماري به عنوان بافت فرسوده كالبدي شناخته شده‌اند.
تبصره پنجم (5):

در بافت فرسوده چنانچه تجميع پلاك‌هاي صرفاً مسكوني منجر به حذف گذرهاي داراي دسترسي اختصاصي في‌مابين چند پلاك ثبتي گردد، شهرداري تهران در قبال عرصه گذر حذف شده هيچ گونه وجهي دريافت نمي نمايد. ضمناً مساحت گذر يادشده مي بايست در مساحت ملاك عمل املاك منظور گردد.
ب- عوارض صدور پروانه جهت مالكين داراي شرايط خاص:
عوارض صدور پروانه براي ساختمان‌هاي مسكوني جهت مشمولان اين ماده به شرح زير و معادل نود درصد (90%) مأخذ موضوع ماده دوم اين مصوبه براساس ميزان قدرالسهم از سند مالكيت، فقط براي يك بار از تاريخ ابلاغ اين مصوبه محاسبه و اخذ خواهد شد.
الف- خانواده شهداي مدافع سلامت (والدين، همسر و فرزندان) به تأييد وزارت بهداشت، درمان و آموزش پزشكي
ب- خانواده شهداي آتش‌نشان به تأييد سازمان آتش‌نشاني و خدمات ايمني شهر تهران
پ- معلولين (والدين، همسر و فرزندان) به تأييد سازمان بهزيستي كشور
ت- زنان سرپرست خانوار به تأييد سازمان بهزيستي كشور
ث-ـ جانبازان، آزادگان و خانواده‌هاي شهدا، اسرا و مفقودالاثرها (والدين، همسرو فرزندان) به تأييد بنياد شهيد و امور ايثارگران انقلاب اسلامي
ج- رزمندگان با سابقه حداقل 6 ماه حضور در جبهه و خانواده جانبازان بيست و پنج درصد (25%) و بالاتر (والدين، همسرو فرزندان) به تأييد بنياد شهيد و امور ايثارگران انقلاب اسلامي
چ- خانواده‌هاي با حداقل 3 فرزند كمتر از 20 سال براي هر خانواده حداكثر براي 130 مترمربع زيربنا مطابق ماده پنجم (5) قانون حمايت از خانواده و جواني جمعيت مصوب سال 1401
ح- مددجويان تحت پوشش كميته امداد امام خميني (ره) با تأئيد كميته امداد امام خميني (ره)
تبصره ششم (6):

عوارض موضوع اين ماده پس از اعمال تسهيلات قانوني مندرج در ماده ششم (6) «قانون جامع خدمات‌رساني به ايثارگران» مصوب سال 1391 و ماده نوزدهم (19) «قانون جامع حمايت از حقوق معلولان» مصوب سال 1397 و ماده پنجم (5) قانون حمايت از خانواده و جواني جمعيت ابلاغي به شماره 93982 مورخ 1400/08/24 رئيس محترم جمهور، محاسبه و اعمال مي‌گردد، ضمن اين كه حائزين شرايط بيش از يكي از موارد مندرج در اين بند صرفاً مشمول يكي از شرايط فوق‌الذكر مي‌باشند.
ج- ساختمان‌ پايدار و هوشمند: عوارض صدور پروانه ساختمان‌هاي صرفاً مسكوني كه كنترل نقشه‌هاي معماري آن‌ها در فرآيند صدور پروانه با رويكرد مدل‌سازي اطلاعات ساختمان (bim) صورت پذيرد، معادل نود درصد (90%) ماخذ اين مصوبه محاسبه خواهد شد.
د- شهرداري تهران موظف است به‌ منظور پرهيز از سفرهاي‌ خودرويي‌ روزمره در فواصل‌ محل‌ سكونت‌ و اشتغال شهروندان در راستاي‌ تسهيل‌ جابه‌جايي‌ و دسترسي‌ ساده‌­تر شاغلان ثابت‌ (از جمله‌ اساتيد دانشگاهي‌، كارگران و كارمندان وزارتخانه‌ها، ادارات و نهادها و مراكز صنعتي‌ و توليدي‌ داراي‌ تعهد خدمت‌ حداقل 10 سال) و تشويق‌ متقاضيان صدور پروانه‌ نسبت‌ به‌ ساخت‌وساز مجتمع‌هاي‌ مسكوني‌ در نزديكي‌ محل‌ كار؛ به‌ گونه‌‌اي‌ كه‌ فاصله‌ دسترسي‌ پياده از محل‌ سكونت‌ تا محل‌ اشتغال كم باشد دستورالعمل‌هاي لازم را تهيه و جهت تصويب يه شوراي اسلامي شهر تهران ارسال نمايد.
هـ- شهرداري تهران موظف است به منظور تقويت الگوي ساخت‌وساز مسكن به صورت خانواده محور، كه مالكين آن‌ها از يك خانواده (پدر، مادر، خواهر، برادر) مي‌باشند دستورالعمل‌هاي لازم را تهيه و جهت تصويب يه شوراي اسلامي شهر تهران ارسال نمايد.

ي- با عنايت به ضرورت توسعه ساختمان‌هاي سبز و كاهش مصرف انرژي و بازچرخاني آب عوارض صدور پروانه در ساختمان‌هاي سبز با توجه به امتياز دريافتي در سيستم ارزيابي و دريافت نشان سرو زرين، سيمين و سبزين بر اساس شاخص‌ها و تسهيلاتي كه به تصويب شوراي اسلامي شهر تهران مي‌رسد اخذ خواهد شد.
تبصره هفتم(7):

به منظور تحقق اهداف قانون‌گذار از قانون جهش توليد مسكن ابلاغي به شماره 67585 مورخ 1400/06/30 و قانون حمايت از خانواده و جواني جمعيت ابلاغي به شماره 93982 مورخ 1400/08/24 رئيس محترم جمهور، عوارض موضوع بند 1 ماده دوم اين مصوبه براي كليه تعاوني‏هاي مسكن مورد تأئيد وزارت تعاون، كار و رفاه و امور اجتماعي، با ضريب هشتاد درصد (80%) محاسبه مي‏‌گردد.
ماده هفتم (7): عوارض تجديد پروانه ساختماني و بهاي خدمات تمديد پروانه ساختماني

مدت اعتبار پروانه‏‌هاي ساختماني بر اساس جدول شماره بيست و سه (23) خواهد بود. در مواردي كه تاريخ اتمام عمليات ساختماني درج شده در پروانه ساختماني به پايان رسيده باشد در خصوص تمديد و تجديد پروانه به شرح زير اقدام گردد:
جدول شماره بيست و سه (23)- مهلت اعتبار پروانه‌هاي ساختماني

*
الف- عمليات ساختماني پروانه صادره در مهلت مقرر درج شده در پروانه شروع شده باشد، تمديد مهلت پروانه عمليات ساختماني براي سال اول رايگان و براي سال دوم برابر با 3 درصد عوارض صدور پروانه به نرخ روز (زمان رسيدگي) تعيين مي‌شود. اگر همچنان در پايان سال دوم ساختمان تكميل نشود، بهاي خدمات تمديد پروانه هر سال (بصورت روز شمار) به ميزان دو درصد عوارض صدور پروانه ساختماني به نرخ روز بصورت تجمعي افزايش مي‌يابد تا به بيست درصد عوارض صدور به نرخ روز بالغ گردد.
ب- عمليات ساختماني پروانه صادره در مهلت مقرر درج شده در پروانه شروع نشده باشد، در صورت مطابقت با ضوابط و مقررات طرح تفصيلي، پروانه با رعايت ساير ضوابط و مقررات تمديد مي‌‏گردد. در اين صورت بهاي خدمات تمديد پروانه براي سال اول رايگان و براي سال دوم برابر با 3 درصد عوارض صدور پروانه به نرخ روز (زمان رسيدگي) تعيين مي‌شود. اگر همچنان در پايان سال دوم ساختمان تكميل نشود، بهاي خدمات تمديد پروانه هر سال (بصورت روز شمار) به ميزان دو درصد عوارض صدور پروانه ساختماني به نرخ روز بصورت تجمعي افزايش مي‌يابد تا به بيست درصد عوارض صدور به نرخ روز بالغ گردد و در صورت عدم مطابقت ضوابط و مقررات طرح تفصيلي با پروانه، پروانه قبلي غير قابل اجرا بوده و پروانه جديد (تجديد پروانه ساختماني) صادر مي‌‏گردد. در اين حالت عوارض پروانه جديد به نرخ روز و عوارض پرداخت شده قبلي به عنوان طلب مؤدي لحاظ مي‌گردد.
تبصره يكم (1):

زمان توقف عمليات ساختماني به دستور مراجع قضايي و شبه قضايي كه منجر به توقف عمليات ساختماني شده باشد به مهلت اتمام عمليات ساختماني اضافه مي‌گردد.
تبصره دوم (2):

در مواردي كه مؤدي درخواست اصلاح پروانه ساختماني را داشته باشد، با پرداخت مابه‌التفاوت عوارض بناي مورد درخواست و پروانه صادره به نرخ روز، نسبت به صدور پروانه ساختماني اقدام لازم صورت مي پذيرد.
ماده هشتم (8): ارزش معاملاتي ساختمان موضوع تبصره 11 ذيل ماده 100 قانون شهرداري‌ها:

در اجراي تبصره يازدهم ماده صد قانون شهرداري مبني بر تهيه آيين‌نامه ارزش معاملاتي كه بر اساس آن جرائم تخلفات ساختماني (موضوع تبصره‌هاي دوم، سوم، چهارم و پنجم ذيل اين قانون) در كميسيونهاي ماده صد تعيين مي‌گردد ارزش معاملاتي ساختمان (هر مترمربع) معادل مجموع عوارض مشمول موضوع ماده دوم اين مصوبه تعيين مي‏‌گردد.

ارزش معاملاتي ساختمان هر مترمربع پاركينگ (موضوع تبصره پنجم ماده صد قانون شهرداري) برابر با * تعيين مي‏گردد.
ماده نهم (9): عوارض ايمني و آتش نشاني

شهرداري تهران مكلف است در هنگام صدور پروانه و گواهي علاوه بر عوارض دريافتي، به شرح جدول ذيل نسبت به محاسبه و اخذ عوارض ايمني و آتش نشاني اقدام نمايد. ضمناً مساجد، اماكن مذهبي اقليت‏هاي ديني، مدارس دولتي، مراكز آموزش عالي دولتي و حوزه هاي علميه از شمول اين ماده خارج مي باشند.
جدول شماره بيست و چهار (24)- عوارض ايمني و آتش نشاني
كاربرد
درصد مجموع عوارض موضوع ماده دوم اين مصوبه
تا 3 طبقه
4 و 5 طبقه
6 طبقه و بيشتر
مسكوني
1
2
3
غير مسكوني
3
3
4


*ملاك محاسبه طبقات در جدول فوق از صفر- صفر دستور نقشه پلاك مي باشد.
ماده دهم (10): شفافيت و محاسبه‌پذيري

در اجراي مفاد اين مصوبه شهرداري تهران مكلف است از ابتداي سال 1404 به شرح زير اقدام نمايد:
الف- نسبت به انتشار p ملاك عمل هر پارسل شهر تهران، مبتني بر تراكم مندرج در جداول چهارگانه پهنه‌بندي طرح تفصيلي در سايت http://shafaf.tehran.ir ظرف مدت 1 ماه اقدام نمايد.
ب- نسبت به درج باركد «مبتني بر آدرس يكتا از وبگاه شهرداري تهران» در تمامي فرم‌هاي اعلام وصول عوارض اقدام نمايد. صدور فرم‌هاي عوارض غيرسيستمي و بدون باركد تخلف محسوب مي‌شود.
ج-گزارش درآمد حاصله از مفاد اين مصوبه را هر 3 ماه يك بار به شوراي اسلامي شهر تهران ارائه نمايد. نتايج تحليلي حاصله را تا پايان آبان ماه به كميسيون معماري و شهرسازي شوراي اسلامي شهر تهران ارائه شده تا مبناي لايحه سال آتي قرار گيرد.
د- شهرداري موظف است ظرف حداكثر 2 ماه از ابلاغ اين مصوبه نسبت به ايجاد زيرساخت فناوري پياده سازي كامل مصوبه و ثبت درخواست‌ها و پايش اجراي مصوبه اقدام نمايد.
ه) به منظور افزايش شفافيت و محاسبه پذيري سرمايه گذاري، جهت بهره گيري متقاضيان اخذ صدور پروانه و يا ساير شهروندان اعم ازينكه درخواست فعال يا غيرفعال پروانه داشته باشند، ماشين حساب شبيه ساز محاسبه انواع عوارض ايجاد و مطابق با مصوبه شوراي اسلامي شهر نسبت به اعلام عوارض اقدام نمايد.
ماده يازدهم (11): كليات
1-اعتبار فرم هاي اعلام عوارض صادره به مدت دو ماه يا تا پايان هر سال مي باشد.
2-درخواست هاي تعميرات غيراساسي به شرح جدول شماره بيست و پنج (25) مشمول عوارض هاي موضوع اين مصوبه نمي گردد. در ساير موارد ماده دوم اين مصوبه ملاك عمل مي‌باشد. بديهي است رعايت كامل قانون تملك آپارتمان‏ها و آئين‏نامه اجرايي آن و كليه مباحث و مقررات ملي ساختمان در كليه موارد الزامي است.
جدول شماره بيست و پنج (25): اقدامات مشمول تعميرات غيراساسي ساختمان هاي مسكوني و غيرمسكوني
ريزفضا
مسكوني
غيرمسكوني
اقدامات
ملاحظات طراحي
بام
*
*
تعويض پوشش (قيروگوني و آسفالت، اجرا و تعويض ايزوگام) - نصب و تعويض انواع كفپوش ها اعم از موزائيك و ... ، تعويض و مرمت شيرواني
----
*
*
رفع نواقص بهداشتي و ايمني ساختمان در حد استاندارد ، اعم از اصلاح ابعاد و مصالح جان پناه بام
----
*

مرمت و تعويض پوشش غير اساسي پاسيو در بام
با مصالح نورگذر و غير ريزنده
محوطه سازي
*

بازسازي حوض،آبنما يا استخر
----
*
*
تخليه چاه فاضلاب و اتصال آن به شبكه فاضلاب شهري
----
*
*
كفسازي ( نصب و تعويض انواع كفپوشها )
----
*
*
باغچه بندي
----
*
*
تعويض درب ورودي سواره ، پياده و تعويض كركره
----
*
*
تعويض يا ترميم ديوارها منوط به عدم وجود بر اصلاحي
----
*
*
تعويض و ترميم كفسازي پله ورودي
----
*
*
بازسازي رمپ با مصالح مناسب
----


داخلي
*
*
تعمير و تعويض كابينت آشپزخانه/ آبدارخانه
----
*
*
تعمير و تعويض پارتيشن هاي داخلي غير باربر
مشروط به عدم تغيير در نظام فني، معماري و كاربرد ساختمان
*
*
نصب و تعمير يا تعويض سرويس هاي بهداشتي و رفع نواقص بهداشتي ساختمان
مشروط به عدم تغيير در نظام فني، معماري و كاربرد ساختمان
*
*
تعويض درب يا پنجره ، اصلاح نرده پنجره و نصب حفاظ روي پنجره ها
مشروط به عدم تغيير در نما، نظام فني، معماري و كاربرد ساختمان
*
*
سفيد كاري و نقاشي و نصب كاشي
----
*
*
لوله كشي آب ، فاضلاب ، گاز و نصب شوفاژ
مشروط به اينكه محل موتورخانه نياز به احداث ساختمان جديدي نداشته باشد.
سقف
*
*
تعويض يا ايجاد سقف كاذب
----
كفسازي
*
*
تعمير و تعويض كفسازي
زيرزمين و طبقات

3-موارد زير ضمن اخذ پروانه از شهرداري مشمول پرداخت عوارض نمي‌باشد:
3-1- نماسازي ساختمان يا ديوارهايي كه با پروانه ساختمان احداث شده‌‏اند، بدون اعمال ضوابط طرح و گذر بندي و براي ساير املاك با رعايت ضوابط گذر بندي مجوز نماسازي زير نظر مهندس معمار داراي پروانه اشتغال صادر مي‏گردد.
3-2- تعبيه و جابجايي پنجره و بازشو در بالكن‌هاي سه طرف بسته با رعايت ضوابط مشرفيت.
3-3- اجراي عقب نشيني ديوار حياط جهت اعمال تعريض معبر وفق ضوابط طرح تفصيلي.
3-4- مقاوم سازي لرزه‌اي در محدوده مصوب بافت فرسوده مطابق دستورالعمل ملاك عمل.
3-5- با هدف ترغيب مالكين بناهاي تاريخي و ارزشمند به حفظ و نگهداري از اين ميراث گرانبها، مطابق ماده 12 «قانون حمايت از مرمت و احياء بافت‌هاي تاريخي- فرهنگي» ابلاغي مورخ 19/04/1398 و قانون "معافيت ابنيه و اماكني كه در زمره آثار ملي ثبت گرديده‌اند از پرداخت عوارض شهرداري" مصوب 28/11/1371 مجلس شوراي اسلامي،در صورت تأييد طرح مرمت توسط وزارت ميراث فرهنگي و تكميل مدارك مورد نياز، بناهاي تاريخي ثبت شده و يا واجد ارزش موضوع قوانين مذكور، از عوارض موضوع مواد دوم (2) و سوم (3) اين مصوبه معاف مي باشند.
3-5-1) بناهاي تاريخي يا ارزشمندي كه بخشي از بناي موجود آن كاملا تخريب شده باشد، در صورت وجود مستندات ثبتي و تاريخي و شواهد معتبر و پس از تأييد وزارت ميراث فرهنگي مبني بر تكميل مستحدثات منطبق بر بناي ارزشمند سابق، ضمن درج موارد در پروانه صادره، مالك ميتواند از تسهيلات بند 3-5 اين مصوبه بهره‌مند شود. بديهي است در صورت عدم وجود مستندات معتبر و قابل اثبات، امكان برخورداري از تسهيلات مذكور وجود ندارد.
3-5-2) به منظور حمايت از مرمت و احياي بناهاي تاريخي و ارزشمند، در صورت نياز به احداث الحاقات جديد، مشروط به عدم آسيب‌رساني هويتي، تاريخي، كالبدي، بصري، سازه‌اي و رعايت ايمني بناي مذكور، پس از تأييد وزارت ميراث فرهنگي، الحاقات جديد با رعايت حقوق مالكين مشاعي و همجوار تا حداكثر 20 درصد مساحت اعياني بناي تاريخي موجود و تا سقف 200 متر مربع، صرفاً جهت تأمين فضاي پشتيباني مرتبط (غيرتجاري) شامل سرويس بهداشتي، آشپزخانه، تأسيسات، پاركينگ و نظاير آن مجاز و عوارض الحاقات جديد به صورت فضاي پشتيبان، مشمول بخشودگي بند 3-5 اين مصوبه مي‌باشد.
3-5-3) با توجه به موقعيت ساختمانهاي ثبت شده تاريخي يا واجد ارزش ، در صورتي كه به دليل ملاحظات تاريخي و حفظ ارزش‌هاي بنا و بافت موجود، امكان تامين پاركينگ وجود نداشته باشد، مطابق با دليل دهم مندرج در صورتجلسه شماره 649 مصوب 09/08/1401 كميسيون ماده5 ، الزامي بر تامين پاركينگ در ابنيه موضوع اين مصوبه نيست و هزينه هاي مرتبط با عدم تأمين پاركينگ شامل عوارض ناشي از كسر پاركينگ و يا بهاي خدمات بهره مندي از معابر و .... مشمول بخشودگي بند 3-5 اين مصوبه بوده و مالك از پرداخت آن معاف مي باشد.
4-در زمان صدور گواهي هاي ساختماني جهت بناهاي احداثي قبل از سال 1366 ، عوارض متعلقه بناهاي مسكوني برابر با عوارض موضوع بند يك (1) ماده دوم و بناهاي غير مسكوني برابر با تبصره هفدهم (17) ذيل ماده دوم اين مصوبه محاسبه و اخذ مي گردد.
5-در زمان صدور گواهي هاي ساختمانيِ املاك داراي اختلاف متركشي بين اسناد اعياني مالكيت و پايان كار صادره قبل از آن ، عوارض متعلقه آن براساس بندهاي1 و 2 ماده دوم اين مصوبه محاسبه و اخذ مي گردد
6- در زمان صدور گواهي هاي ساختماني ، درصورت تقليل مساحت مشاعات و بالكن در طبقات داراي كاربرد اصلي و افزايش بناهاي مسكوني و غير مسكوني ، عوارض متعلقه برابر با تبصره هفدهم (17) ذيل ماده دوم اين مصوبه محاسبه و اخذ مي گردد.
7-در محاسبه عوارض زيربناي مسكوني، در درخواست هاي تعويض سقف و تعميرات اساسي داراي حقوق مكتسبه قانوني با كاربرد مسكوني، ضريب cf برابر با يك و نيم (5/1) درنظر گرفته مي‌شود.
8-در پروانه‏‌هاي توسعه بنا، اضافه اشكوب، تغييرات، تبديل، تغييرنقشه، شروع عمليات ساختماني، عوارض بناي مجاز طبق آخرين پروانه/گواهي قبلي و همچنين بناي مورد درخواست، هركدام متناسب با شرايط محاسبه عوارض مطابق با مفاد ماده دوم اين مصوبه به نرخ روز محاسبه و مابه‌التفاوت آن اخذ مي‌گردد.
9- عوارض زيربناي غيرمسكوني (تجاري- اداري- صنعتي) مجاز (طبق پروانه ساختماني، پايانكار و مدارك كسبي معتبر) در هنگام اخذ پروانه تخريب و نوسازي، تعويض سقف و تعميرات اساسي معادل بيست درصد (20%) عوارض موضوع بند 2 ماده دوم اين مصوبه محاسبه مي‌گردد.
10- براي پرونده‏‌هاي ارسالي به كميسيون ماده پنج به استثناي كاربري هاي تثبيت شده خدماتي و پهنه هاي حفاظت (g) و متقاضيان تاسيسات گردشگري(آيين‌نامه ايجاد تأسيسات گردشگري سال 1394) ، شصت درصد (60%) كل عوارض مطابق با جداول چهارگانه ضوابط استفاده از اراضي و ساخت و ساز طرح تفصيلي شهر تهران محاسبه و به صورت سيستمي دريافت گردد. معاونت مالي و اقتصاد شهري شهرداري تهران موظف است وجوه حاصل از اجراي اين بند را در حسابي جداگانه تحت عنوان "وجه تضمين درخواست طرح در كميسيون ماده 5" واريز نموده و جهت وصول عوارض فوق ظرف مدت يك ماه از ابلاغ اين مصوبه اجرا نمايد و در صورت مخالفت و عدم تصويب، وجه مسترد خواهد شد.
11- درصورت استفاده مالكين اراضي و املاك داراي كاربري خدماتي از تسهيلات اين مصوبه، شهرداري تهران موظف است، پس از صدور پروانه نسبت به پيگيري تثبيت كاربري خدماتي از طريق كميسيون ماده پنج اقدام نمايد.
12- كليه تسهيلات غير عوارضي ارائه شده به بناهاي خدماتي مطابق با مصوبات «اصلاحيه مصوبه چگونگي مشاركت شهرداري تهران در ساماندهي وضعيت مساجد در شهر تهران ابلاغي به شماره 160/593/19893 به تاريخ 1383/10/14» ابلاغي به شماره 160/1014/18602 مورخ 1386/11/06، «اصلاحيه مصوبه چگونگي جلب و جذب مشاركت بخش خصوصي در توسعه مجتمع هاي فرهنگي و سينمايي شهر تهران» ابلاغي به شماره 160/1390/18581 مورخ 1388/12/10، مصوبه "ساماندهي و توسعه تاسيسات گردشگري" ابلاغي به شماره 160/907/7335 مورخ 1386/05/01 و مصوبه «پاسخ به استفساريه شهرداري تهران درخصوص چگونگي اجراي مصوبه ساماندهي و توسعه تاسيسات گردشگري شهر تهران» ابلاغي به شماره 160/1770/10607 مورخ 1392/05/27، «چگونگي اعطاي تسهيلات تشويقي به واحدهاي توليد نان (سنتي، حجيم، نيمه حجيم، مسطح، خمير منجمد و نان نيم پز)» ابلاغي به شماره 160/1446/7642 () مورخ 1389/05/25 ملاك عمل بوده و مصوبات «دستورالعمل اجرايي مصوبه چگونگي مشاركت شهرداري تهران در ايجاد، توسعه و ساماندهي فضاها و اماكن ورزشي تهران» ابلاغي به شماره 160/699/20949 () مورخ 1384/12/16 و «اصلاحيه مصوبه دستورالعمل اجرايي مصوبه چگونگي مشاركت شهرداري تهران در ايجاد، توسعه و ساماندهي فضاها و اماكن ورزشي شهر تهران» ابلاغي به شماره 160/1122/8697 مورخ 1387/05/22 و مصوبه «ساماندهي حمايت از ناشران، موزعين و كتابفروشان» ابلاغي به شماره 160/1355/15998 مورخ 1388/10/28 و مصوبه «اصلاحيه مصوبه فرآيند حمايت از ناشران، موزعين و كتابفروشان ابلاغي به شماره 160/1355/15998 مورخ 1388/10/28 و اصلاحيه بعدي آن ابلاغي به شماره 160/3005/16687 مورخ 1401/08/21 لغو مي گردد.
تبصره يكم (1) :
زمان دريافت عوارض مرتبط با هتل ها و تاسيسات گردشگري موضوغ بند "و" ذيل ماده واحده بند مصوبه "ساماندهي و توسعه تاسيسات گردشگري" ابلاغي به شماره 160/907/7335 مورخ 1386/05/01، مطابق با جدول شماره بيست و شش (26) اصلاح مي گردد.
تبصره دوم (2):

بند "هـ" ذيل ماده واحده بند مصوبه "ساماندهي و توسعه تأسيسات گردشگري" ابلاغي به شماره 160/907/7335 مورخ 1386/05/01، مطابق با جدول شماره بيست و سه (23) اين مصوبه اصلاح مي گردد.

11
- () باستناد متقاضيان تأسيسات گردشگري(آيين‌نامه ايجاد اصلاح تكميل درجه بندي و نرخ گذاري تأسيسات گردشگري سال 1394) عوارض زيربناي مصاديق تأسيسات گردشگري، در زمان صدور پروانه براساس بيست درصد (20%) تعرفه صنعتي موضوع بند (ج) ماده دوم اين مصوبه و عوارض ارزش افزوده ناشي از تعيين كاربري و تغيير كاربري عرصه اجراي طرح‌هاي توسعه شهري (o1 و o2 و o3) براساس بيست درصد (20%) مفاد بند1 و 2 ماده سوم اين مصوبه به ميزان قدرالسهم از عرصه محاسبه مي­‌گردد.
جدول شماره بيست و شش (26)
تقسيم بندي ساختمان ها
زمان پرداخت اقساط پس از شروع بهره برداري
ساختمان هاي تا 11 طبقه روي زمين
5 سال
هتل هاي ويژه با زيربناي بيش از 10000 مترمربع يا بيشتر از12 طبقه از روي زمين
7 سال


12
- () در مواردي كه واحدهاي گلخانه‌اي و كشاورزي داراي موافقت اصولي از وزارت جهاد كشاورزي بوده و از نظر ضوابط و مقررات شهرسازي و معماري نيز احداث آن مجاز باشد عوارض مربوط به مستحدثات اساسي معادل بيست درصد (20%) تعرفه اماكن صنعتي محاسبه مي‌شود.
13- به منظور تسريع در رفع معارضين و مساعدت بازگشايي برخي محورهاي داراي اولويت تعريض با حداقل عرض بيست متر و دستيابي به نرخ نوسازي متوازن دركليه مناطق شهر تهران ، شهرداري تهران مكلف است نسبت به تهيه بسته هاي تشويقي با هماهنگي كميسيون هاي شهرسازي و معماري اقدام نمايد.
14- شهرداري تهران موظف است با بررسي تعديل نرخ عوارض صدور پروانه ساختماني در كاربري‌هاي تجاري، اداري، صنعتي متناسب با كاربري‌هاي مسكوني همان منطقه نسبت به تبديل عوارض بر سرمايه به عوارض و بهاي خدمات بهره‌برداري از واحدهاي احداثي اين كاربري‌ها پس از تصويب شوراي اسلامي شهر تهران اقدام نمايد.
15- شهرداري تهران مجاز است نسبت به تهاتر عوارض ساختمانهاي غيرمسكوني با دستگاه قضايي اقدام نمايد متن ذيل به بخش چهارم مصوبه «دستورالعمل اجرايي مديريت منابع و مصارف غيرنقد» ابلاغي به شماره 160/2496/24134 مورخ 1397/08/21 با عنوان بند "ح" الحاق مي‌گردد:

"ح" الحاقي) تهاتر عوارض ساختمانهاي غيرمسكوني با دستگاه قضايي:

به منظور تأديه ديون و بدهي‌هاي شهرداري تهران با دستگاه قضايي، شهرداري تهران مجاز است نسبت به تهاتر عوارض ساختمانهاي غيرمسكوني دستگاه قضايي اقدام نمايد.
16- از تاريخ لازم الاجرا شدن اين مصوبه، كليه مصوبات مغاير با اين مصوبه لغو مي گردند.